EasyManua.ls Logo

Kuka IONTEC KR 70 R2100 F - Stopping Distances and Stopping Times, STOP 1, A1

Kuka IONTEC KR 70 R2100 F
344 pages
To Next Page IconTo Next Page
To Next Page IconTo Next Page
To Previous Page IconTo Previous Page
To Previous Page IconTo Previous Page
Loading...
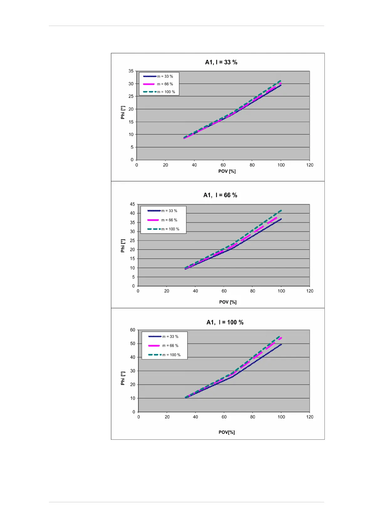
4.11.4.2 Stopping distances and stopping times, STOP 1, A1
Fig. 4-91: Stopping distances for STOP 1, axis 1
KR IONTEC
142/344 | www.kuka.com MA KR IONTEC V4 | Issued: 11.05.2021
Technical data

Table of Contents

Related product manuals