EasyManua.ls Logo

Lauda ECO GOLD - Page 101

Default Icon
132 pages
Print Icon
To Next Page IconTo Next Page
To Next Page IconTo Next Page
To Previous Page IconTo Previous Page
To Previous Page IconTo Previous Page
Loading...
09/2021 ECO Gold 101 / 134
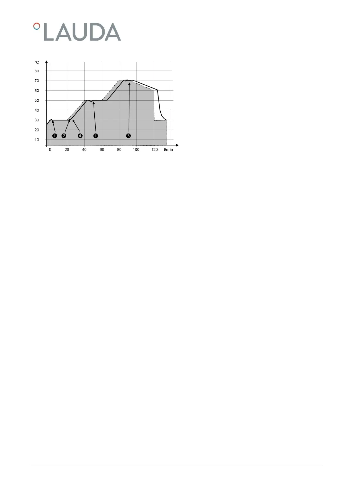
The tolerance entry can have a large effect with external
bath control. The adjacent graph of the edited trace shows
the possible run-on of the actual temperature in the bath
vessel (continuous line) for the set-point temperature of
the programmer (highlighted in gray).
Note:
The tolerance field facilitates exact conformance
to the dwell time at a specified temperature. The
following segment is only processed when the ac-
tual temperature reaches the tolerance band ,
so that for example the ramp of segment 2 is only
started delayed by .
A tolerance range which is too tight can however also cause undesired delays. In particular with external control
the range should not be chosen too tightly. In Segment 5 a larger tolerance has been entered, so that the de-
sired time of ten minutes is maintained even with settling action .
Only flat (slow) ramps should be programmed where necessary with a tolerance range. Steep ramps which lie
close to the maximum possible heating or cooling rates of the thermostat may be severely delayed by a toler-
ance range that is too tight (here in Segment 2) .
Note: No time specification is possible in the start segment (No. 1). The temperature of the first segment is attained as
quickly as possible in order to switch to segment 2 after reaching the set tolerance.

Table of Contents

Other manuals for Lauda ECO GOLD

Related product manuals