EasyManua.ls Logo

LG Multi IV - Sound Pressure Levels - Heat Recovery

LG Multi IV
152 pages
Print Icon
To Next Page IconTo Next Page
To Next Page IconTo Next Page
To Previous Page IconTo Previous Page
To Previous Page IconTo Previous Page
Loading...
92 | PRODUCT DATA
MULTI V IV Outdoor Unit Engineering Manual
'XHWRRXUSROLF\RIFRQWLQXRXVSURGXFWLQQRYDWLRQVRPHVSHFL¿FDWLRQVPD\FKDQJHZLWKRXWQRWL¿FDWLRQ
©
/*(OHFWURQLFV86$,QF(QJOHZRRG&OLIIV1-$OOULJKWVUHVHUYHG³/*´LVDUHJLVWHUHGWUDGHPDUNRI/*&RUS
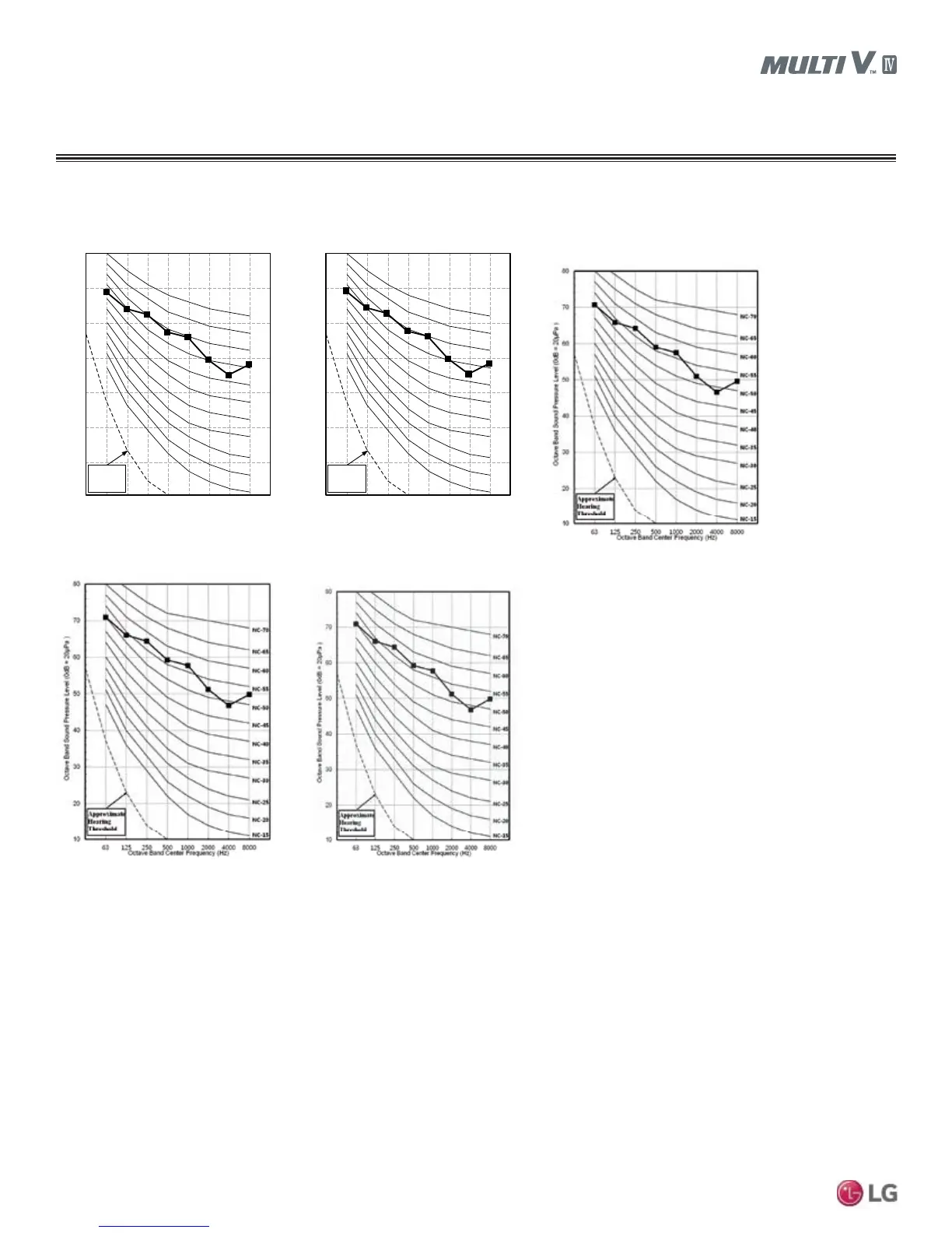
ACOUSTIC DATA
Sound Pressure Levels - Heat Recovery
Heat Recovery Sound Pressure Levels, continued
Octave Band Sound Pressure Level (0 dB = 20 μPa)
Octave Band Sound Pressure Level (0 dB = 20 μPa)
Octave Band Center Frequency (Hz)
10
20
30
40
50
60
70
80
63 125 250 500 1 000 2 000 4 000 8 000
NC-15
NC-20
NC-25
NC-30
NC-35
NC-40
NC-45
NC-50
NC-55
NC-60
NC-65
Approximate
Hearing
Threshold
Octave Band Center Frequency (Hz)
10
20
30
40
50
60
70
80
63 125 250 500 1 000 2 000 4 000 8 000
NC-15
NC-20
NC-25
NC-30
NC-35
NC-40
NC-45
NC-50
NC-55
NC-60
NC-65
Approximate
Hearing
Threshold
ARUB312BTE4, ARUB336BTE4,
ARUB312DTE4, ARUB336DTE4
ARUB360BTE4, ARUB360DTE4
ARUB384BTE4, ARUB384DTE4
ARUB408BTE4, ARUB408DTE4
ARUB432BTE4, ARUB432DTE4
ARUB456BTE4, ARUB480DTE4, ARUB504BTE4
ARUB408BTE4, ARUB408DTE4, ARUB504DTE4

Table of Contents

Related product manuals