EasyManua.ls Logo

Milton Roy mRoy A - Page 75

Milton Roy mRoy A
79 pages
Print Icon
To Next Page IconTo Next Page
To Next Page IconTo Next Page
To Previous Page IconTo Previous Page
To Previous Page IconTo Previous Page
Loading...
75 Installation, Operations & Maintenance Manual
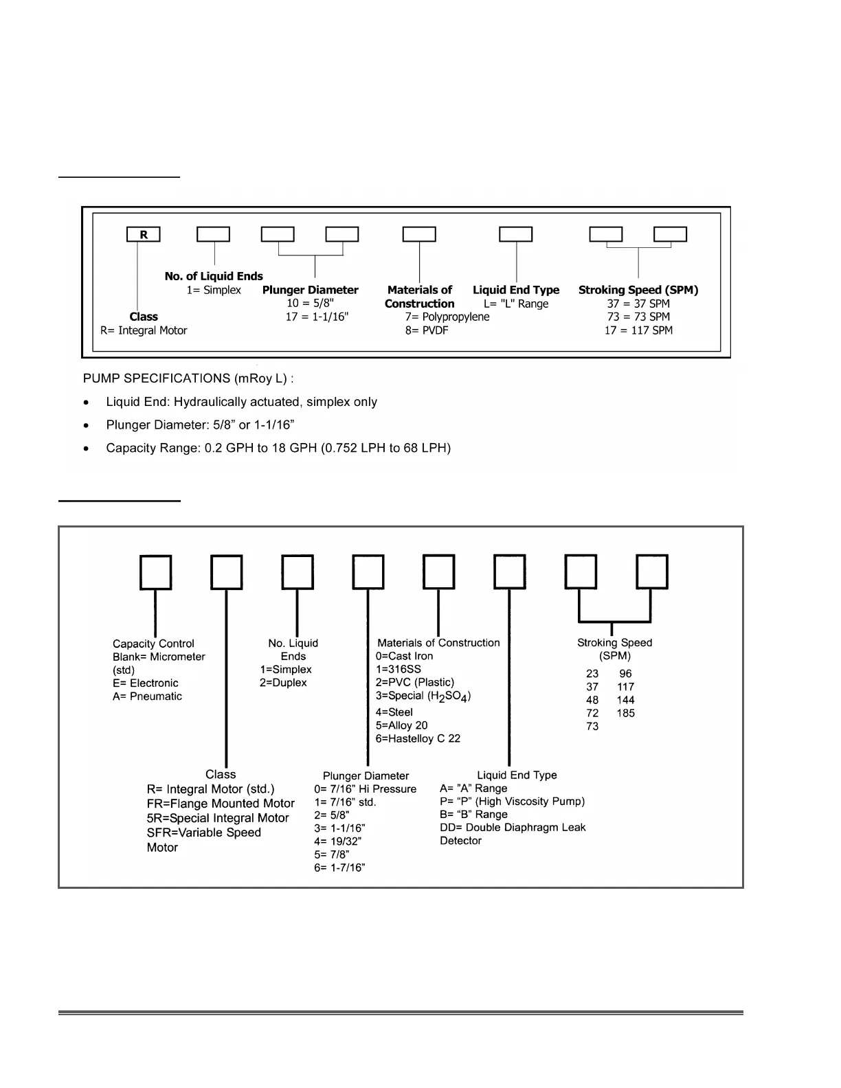
1.1 APPENDIX A
1.2 MODEL CODE HISTORY
(PRIOR TO 2016)
mRoy L History
mRoy A History

Table of Contents

Other manuals for Milton Roy mRoy A

Related product manuals