EasyManua.ls Logo

MSA altair 4x - Fresh Air Setup (FAS)

MSA altair 4x
72 pages
Print Icon
To Next Page IconTo Next Page
To Next Page IconTo Next Page
To Previous Page IconTo Previous Page
To Previous Page IconTo Previous Page
Loading...
AppendixMSA
ALTAIR 4X
GB
65
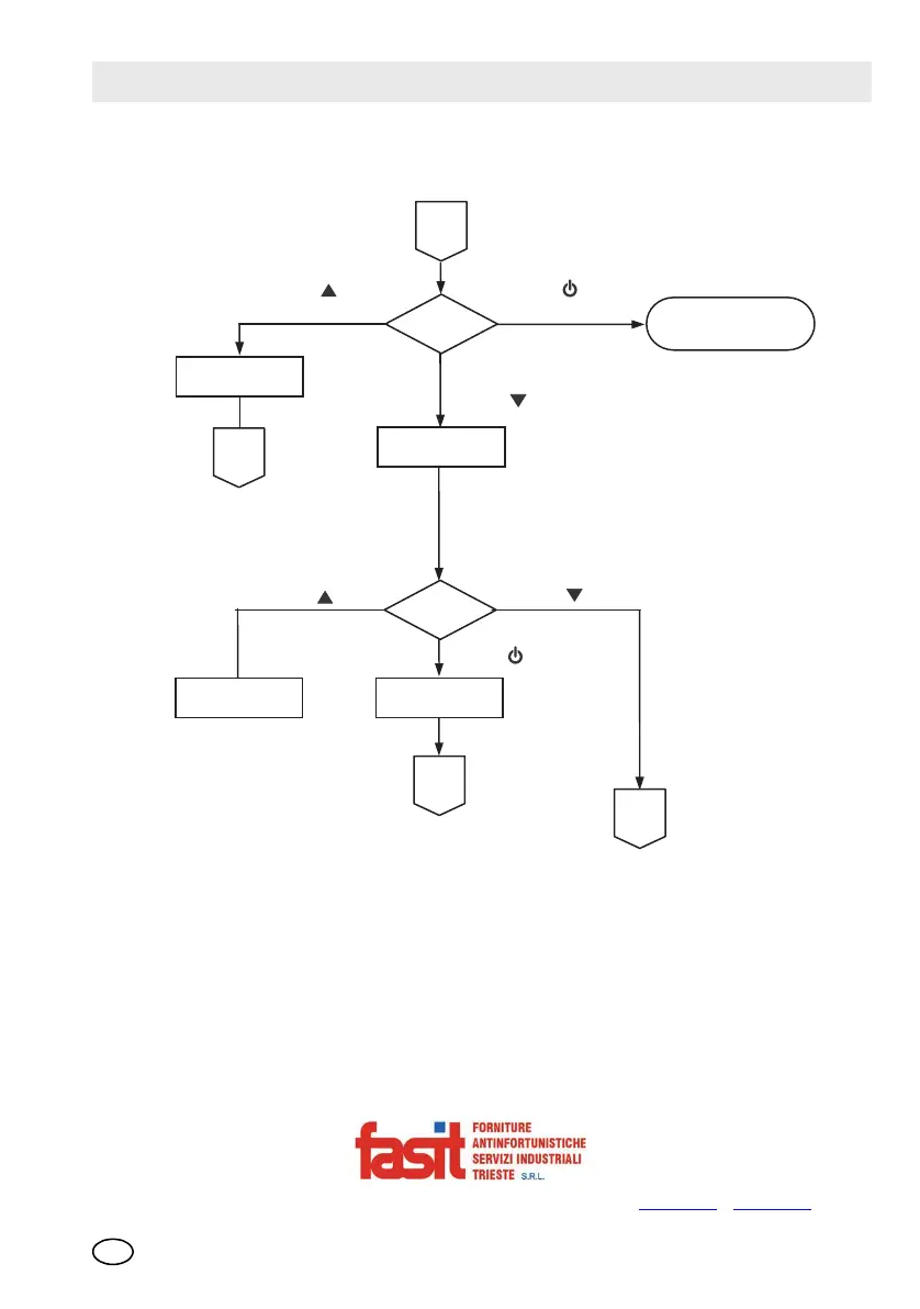
8.3 Reset Screen Controls
To Bump
Button ?
Button?
Hold
for 3 seconds
Hold
for 5 seconds
Instrument off
CAL Mode
Press
BUMP Page
Press
Press
Press
Perform BUMPMeasure
To Next
Page
From Normal Operations
(Main Page)
To Calibration
FASIT Srl - Via Orsera 13/b - 34145 TRIESTE - ITALY - Tel +39 040 825604 - www.fasit.it
- info@fasit.it

Other manuals for MSA altair 4x

Related product manuals