EasyManua.ls Logo

Navman Tracker 5607 - Page 39

Navman Tracker 5607
79 pages
Print Icon
To Next Page IconTo Next Page
To Next Page IconTo Next Page
To Previous Page IconTo Previous Page
To Previous Page IconTo Previous Page
Loading...
NAVMAN TRACKER 5507/5607 Installation and Operation Manual
39
10-6-2 Managing fuel consumption curves
Renaming a curve
1 Press
twice, then select Fuel.
2 Select
Fuel consumption curve.
Select
Name and select the name of the
curve to rename.
3 Select
Rename and press . Change
the name.
10-6-3 Using fuel consumption curves
Deleting a curve
1 Press
twice, then select Fuel.
2 Select
Fuel consumption curve.
Select
Name and select the name of the
curve to delete.
3 Select
Delete.
Selecting a curve
1 You must make a fuel consumption curve
before you can use it (see section 10-6-1).
2 On the Fuel window, press
, select
Fuel consumption curve and select the name
of the curve to use.
3 On the fuel window, press
if necessary
to select Fuel curve and display the fuel
consumption curve.
Note
a On a multi engine boat, keep the RPM of all
engines similar while using a curve.
b The shape of the curve depends on the type
of speed sensor you selected when making
the curve (see sections 10-5-1 and 10-5).
c More information about fuel consumption
curves is available in NAVMAN’s
Diesel flow
sensors installation and operation manual.
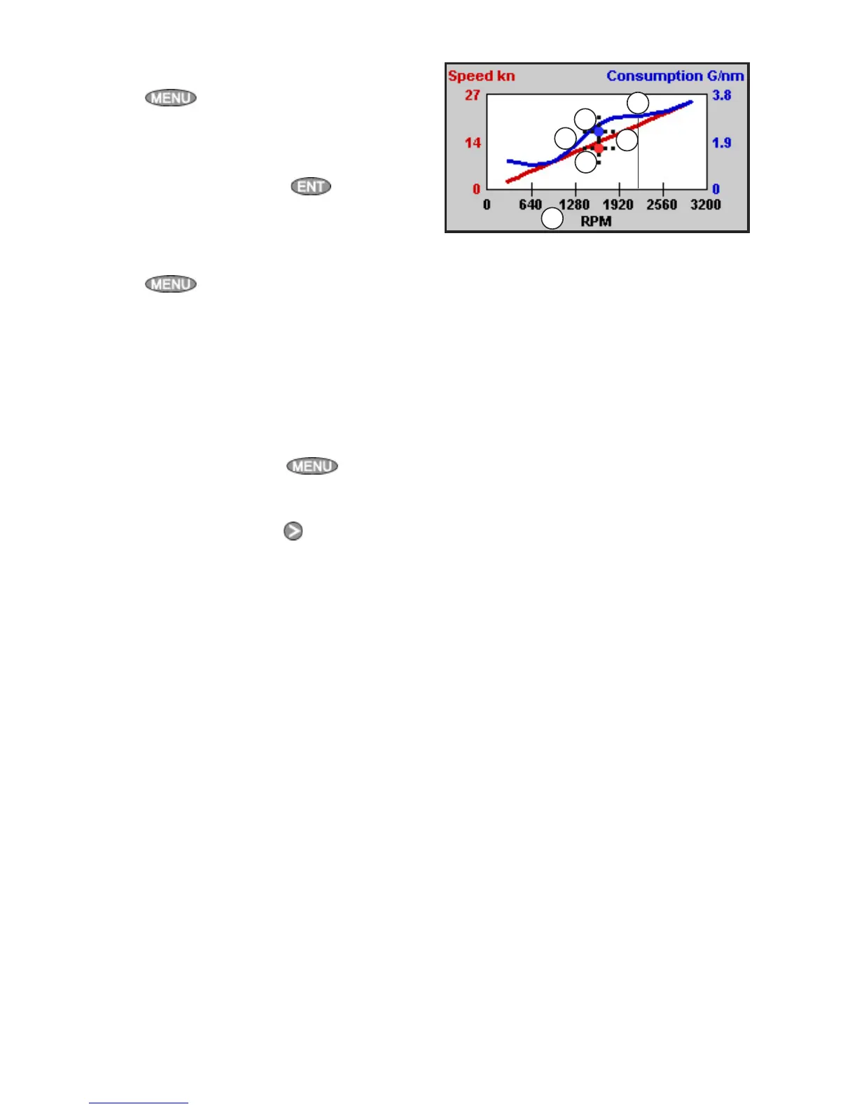
Using a curve
C
D
E
F
A
B
Compare your boats performance now, at the
current RPMs, with the boat’s performance when
you made the curve. You can compare your
boat’s performance now with a curve made
under ideal conditions or with a curve made
under similar conditions.
Information in a curve
A RPM of the boat now. For a twin engine boat,
the RPM is the average of the two RPMs.
B Red curve: boat speeds at different
RPMs recorded when you made this fuel
consumption curve.
C Red marker: the boat speed now. This marker
is below the red curve, showing that the boat
speed now at this RPM is less than when you
recorded the curve.
D Blue curve: fuel consumption at different
RPMs recorded when you made this fuel
consumption curve.
E Blue marker: the fuel consumption now. This
marker is below the blue curve, showing
that the fuel consumption now at this RPM is
better than when you recorded the curve.
F If the blue curve has a dip, then running the
boat at this RPM will give the best speed for
the least fuel consumption.

Table of Contents

Related product manuals