EasyManua.ls Logo

Piper Cherokee Six - Page 36

Piper Cherokee Six
721 pages
Print Icon
To Next Page IconTo Next Page
To Next Page IconTo Next Page
To Previous Page IconTo Previous Page
To Previous Page IconTo Previous Page
Loading...
*PIPER
CHEROKEE SIX
SERVICE MANUAL
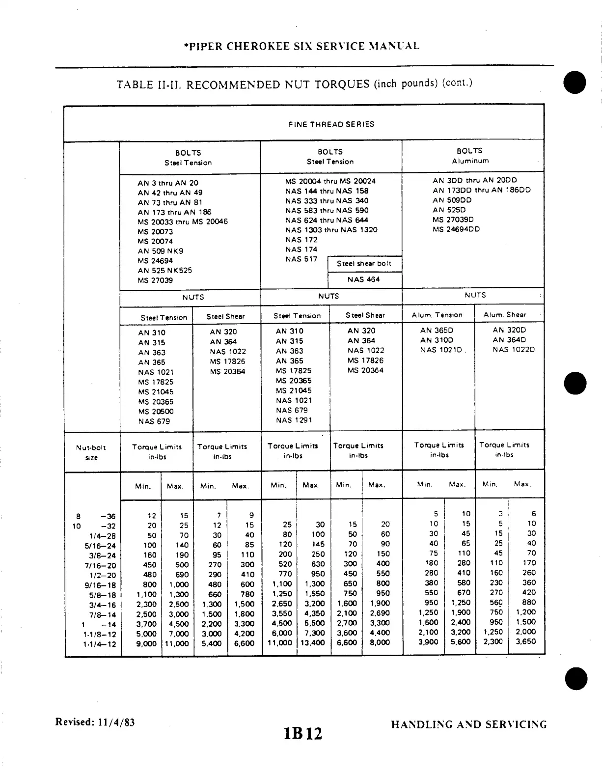
TABLE
II-II. RECOMMENDED
NUT
TORQUES (inch
pounds) (cont.)
FINE
THREAD
SERIES
BOLTS
Steel Tension
BOLTS
Steel Tension
BOLTS
Aluminum
AN 3 thru AN 20
AN 42 thru AN 49
AN 73 thru AN 81
AN 173 thru AN 186
MS 20033 thru MS 20046
MS 20073
MS 20074
AN 509 NK9
MS 24694
AN 525 NK525
MS 27039
NUTS
MS 20004 thru MS 20024
NAS
144 thru NAS
158
NAS
333 thru
NAS 340
NAS 583 thru NAS 590
NAS 624 thru NAS 644
NAS 1303 thru NAS 1320
NAS 172
NAS 174
NAS
517
Steel
shear
bolt
NAS 464
NUTS
AN 3DD
thru AN
20DD
AN 173DD
thru AN 186DD
AN 509DD
AN 525D
MS 27039D
MS 24694DD
NUTS
Steel Tension
Steel
Shear
Steel Tension
Steel Shear
Alum.
Tension
AN 310
AN 315
AN 363
AN 365
NAS 1021
MS 17825
MS 21045
MS 20365
MS 20500
NAS 679
AN 320
AN 364
NAS 1022
MS 17826
MS 20364
AN 310
AN 315
AN 363
AN 365
MS 17825
MS 20365
MS 21045
NAS 1021
NAS 679
NAS 1291
AN 320
AN 364
NAS 1022
MS 17826
MS 20364
AN 365D
AN 310D
NAS 1021D.
Alum. Shear
AN 3200
AN 364D
NAS 1022D
Nut-bolt
Torque
Limits
size
in-lbs
Torque
Limits
Torque
Limits
in-lbs
in-lbs
Torque
Limits
in-lbs
Torque Limits Torque Limits
in-lbs
in-lbs
Min.
Max.
Min.
Max.
Min. Max.
12 15 7 9
8 -36
10 -32
1/4-28
5/16-24
3/8-24
7/16-20
1/2-20
9/16-18
5/8-18
3/4-16
7/8-14
1 -14
1-1/8-12
1-1/4-12
20
50
100
160
450
480
800
1,100
2.300
2.500
3,700
5.000
9,000
25
70
140
190
500
690
1,000
1,300
2.500
3.000
4,500
7,000
11,000
12
30
60
95
270
290
480
660
1,300
1,500
2.200
3.000
5,400
15
40
85
110
300
410
600
780
1.500
1.800
3.300
4,200
6,600
25
80
120
200
520
770
1.100
1,250
2,650
3.550
4,500
6,000
11,000
30
100
145
250
630
950
1,300
1,550
3.200
4,350
5.500
7,300
13,400
Min. Max.
15 20
50
60
70 90
120 150
300 400
450
550
650 800
750
950
1,600
1.900
2,100 2.690
2,700 3,300
3.600
4,400
6.600 8,000
5
10
30
40
75
180
280
380
550
950
1,250
1,600
2.100
3.900
10
15
45
65
110
280
410
580
670
1,250
1,900
2,400
3,200
5.600
Min. Max.
Min.
Max.
3
5
15
25
45
110
160
230
270
560
750
950
1,250
2,300
6
10
30
40
70
170
260
360
420
880
1.200
1,500
2,000
3.650
Revised:
11/4/83
12
1B12
HANDLING AND SERVICING

Table of Contents

Related product manuals