EasyManua.ls Logo

Siemens 6RA8018-6DV62

Siemens 6RA8018-6DV62
758 pages
To Next Page IconTo Next Page
To Next Page IconTo Next Page
To Previous Page IconTo Previous Page
To Previous Page IconTo Previous Page
Loading...
Descriptions of functions
10.22 Speed-dependent current limitation
SINAMICS DCM DC Converter
588 Operating Instructions, 12/2018, A5E34763375A
PT1000
Approx. 840 Ω up to approx. 2980 Ω at -40 °C to +550 °C
Positive temperature coefficient, almost a linear characteristic
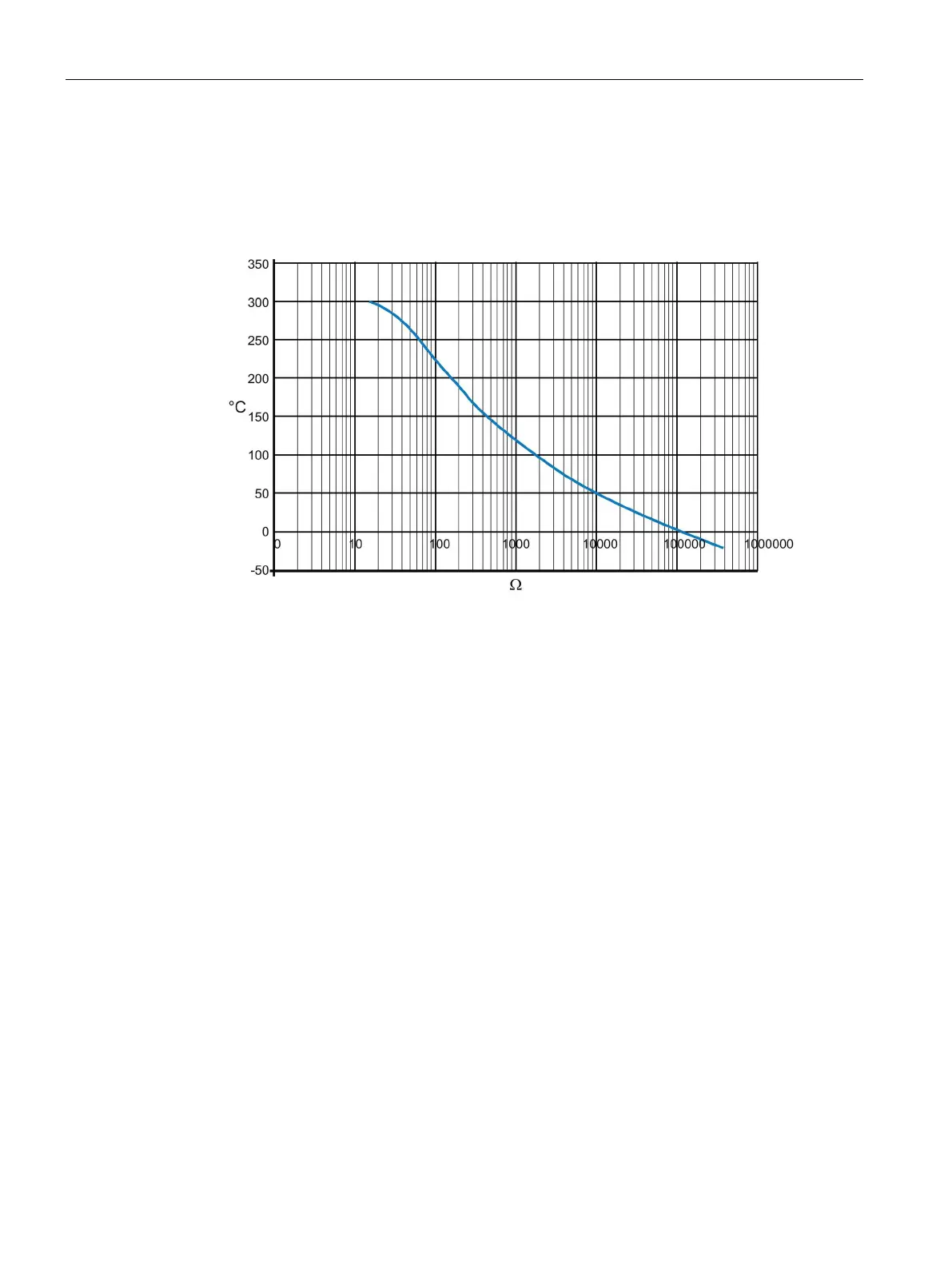
NTC thermistor
K227/S1/1.8 kΩ/KER
Approx. 200 Ω at 190 °C to 1.8 kΩ at 100 °C
Figure 10-71 Characteristic K227
10.22
Speed-dependent current limitation
Speed-dependent current limitation protects the DC motor's commutator and brushes at high
speeds.
The settings required for this (p50104 to p50107) must be taken from the motor rating plate.
Additionally, the maximum operating speed of the motor (p50108) must be entered; this must
match the actual maximum operating speed.
The actual maximum operating speed is determined as follows:
Using p2000 in cases where the actual speed value comes from an incremental encoder
Using p50741 in cases where the actual speed value comes from an analog tachometer
Using p50115 in the case of operation without a tachometer

Table of Contents

Related product manuals