EasyManua.ls Logo

Taie FY800 - Alarm Action

Default Icon
89 pages
Print Icon
To Next Page IconTo Next Page
To Next Page IconTo Next Page
To Previous Page IconTo Previous Page
To Previous Page IconTo Previous Page
Loading...
57 FY operation manual
Example2
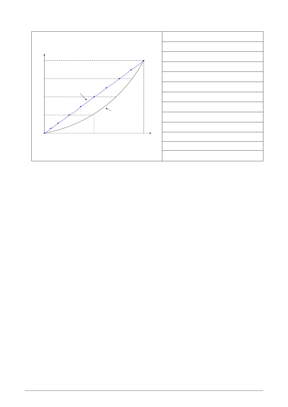
Input signal 4~20mA, range 0~5000, the input signal is nonlinear (as shown in the figure below), use 10 points piece linear
compensation.
PV
5000
2500
0
3750
1250
mA
20124
1
2
3
4
5
6
7
8
9
10
Original Signal
After Piece Linear
Compensation Signal
Step1SET9.1 = 0 disable function
Step2SET8.4 = 1 display MLNBCOMPOFFS
Step3MLNB = 1, COMP = 0(LSPL), OFFS = 0
Step4MLNB = 2, COMP = 100, OFFS = 400
Step5MLNB = 3, COMP = 150, OFFS = 550
Step6MLNB = 4, COMP = 500, OFFS = 750
Step7MLNB = 5, COMP = 800, OFFS = 1075
Step8MLNB = 6, COMP = 1300, OFFS = 1200
Step9MLNB = 7, COMP = 1900, OFFS = 1225
Step10MLNB = 8, COMP = 2650, OFFS = 1100
Step11MLNB = 9, COMP = 3720, OFFS = 680
Step12MLNB = 10, COMP = 5000(USPL), OFFS = 0
Step13SET9.1 = 1 enable function
Notes
1. The Piece Linear Compensation function must be enabled (SET9.1=1) when MLNB, COMP, OFFS are set, otherwise the controller
may display an error message.
2. Regardless of the number of use segments, the first segment COMP must be equal to LSPL, the last segment COMP must be
equal to USPL.

Table of Contents

Other manuals for Taie FY800

Related product manuals