EasyManua.ls Logo

TDE MACNO DVS200 - Page 92

TDE MACNO DVS200
134 pages
Print Icon
To Next Page IconTo Next Page
To Next Page IconTo Next Page
To Previous Page IconTo Previous Page
To Previous Page IconTo Previous Page
Loading...
92 Chapter 7 - Parameters Description User Manual
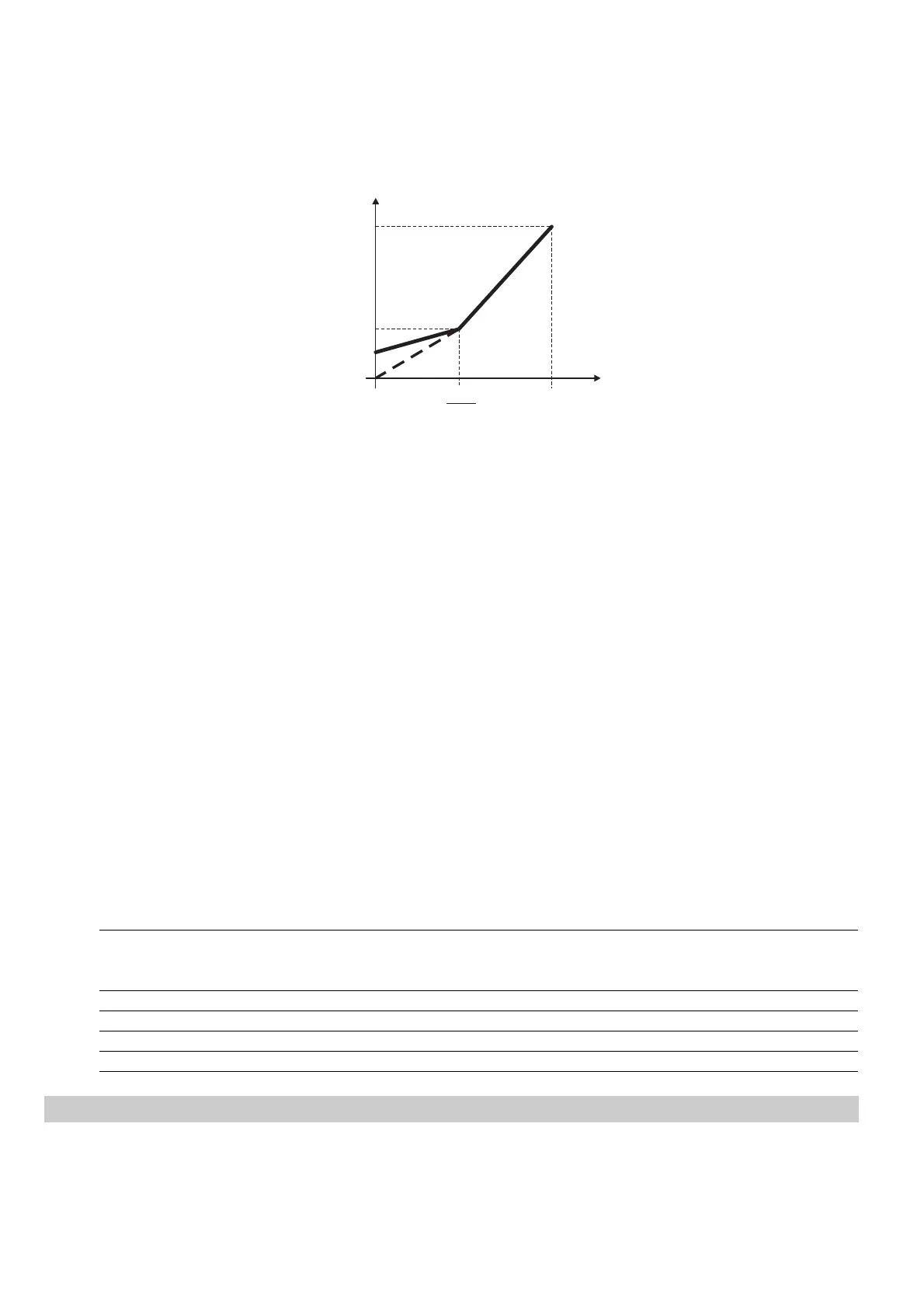
P.060 = 2 (Quadratic )
The Quadratic characteristic is useful when a pump or fan has to be controlled (load where the torque is
proportional to the speed squared).
The factory setting, when this ratio is selected, provides a setting of P. 0 6 3 equal to the 0,25% the Max output
voltage, at a frequency equal to 50% of P. 0 6 2 .
P.061
P.062
(F.020)
V
F
(P.061 x 0.25)
P.062
2
P.120
Figure 7.6.6: Quadratic V/F shape
P.061 Max out voltage (Maximum output voltage)
Maximum value of the voltage applied to the motor (normally set as the nameplate, see figure 7.6.3).
P.062 Base frequency
Rated frequency of the motor (given on the nameplate, see figure 7.6.3).
It represents the working frequency of the drive, at which the Max out voltage is associated (P.0 61 ).
P.063 V/f interm volt (V/f intermediate voltage)
Intermediate "voltage" value of the V/F characteristic selected.
P.064 V/f interm freq (V/f intermediate frequency)
Intermediate "frequency " value of the V/F characteristic selected.
NOTE!
When custom V/f shape is selected (P. 0 6 0 = 0):
P. 06 4 parameter represents the return point of the output voltage, on the linear characteristic of V/f
ratio (see figure 7.6.4).
Code Name [Code] & Function. Default MIN MAX Unit Variation IPA
P.060 V/f shape [0] Custom 1 0 2 412
[1] Linear
[2] Quadratic
P.061 Max out voltage (**) 50 (**) V 1 413
P.062 Base frequency (**) 25 500 Hz 0.1 414
P.063 V/f interm volt (**) 0 P.061 V 415
P.064 V/f interm freq (**) 1 P.062 Hz 0.1 416
Ouput Frequency Limit
P.080 Max output freq (Maximun output frequency)
It is the maximum level of the output frequency, expressed as percentage of Max ref freq (F.020).

Table of Contents

Related product manuals