EasyManua.ls Logo

Trane BCHC - Page 42

Trane BCHC
72 pages
Print Icon
To Next Page IconTo Next Page
To Next Page IconTo Next Page
To Previous Page IconTo Previous Page
To Previous Page IconTo Previous Page
Loading...
42 BCXC-SVX01A-EN
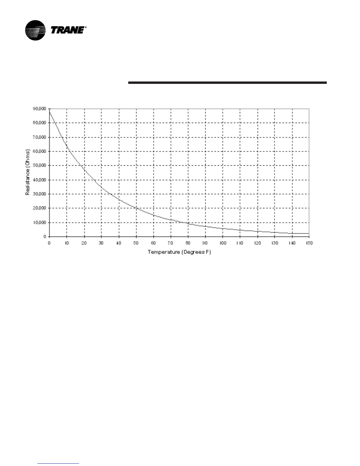
Figure O-SO-14. Resistance temperature curve for the zone sensor, entering water temperature sensor, and discharge air sensor.
Operation
Sequence of
Operation

Table of Contents

Other manuals for Trane BCHC

Related product manuals