EasyManua.ls Logo

Xtralis VESDA ECO - Page 68

Xtralis VESDA ECO
96 pages
Print Icon
To Next Page IconTo Next Page
To Next Page IconTo Next Page
To Previous Page IconTo Previous Page
To Previous Page IconTo Previous Page
Loading...
Product Guide VESDA ECO Detector by Xtralis
58 Configuration 17898_05
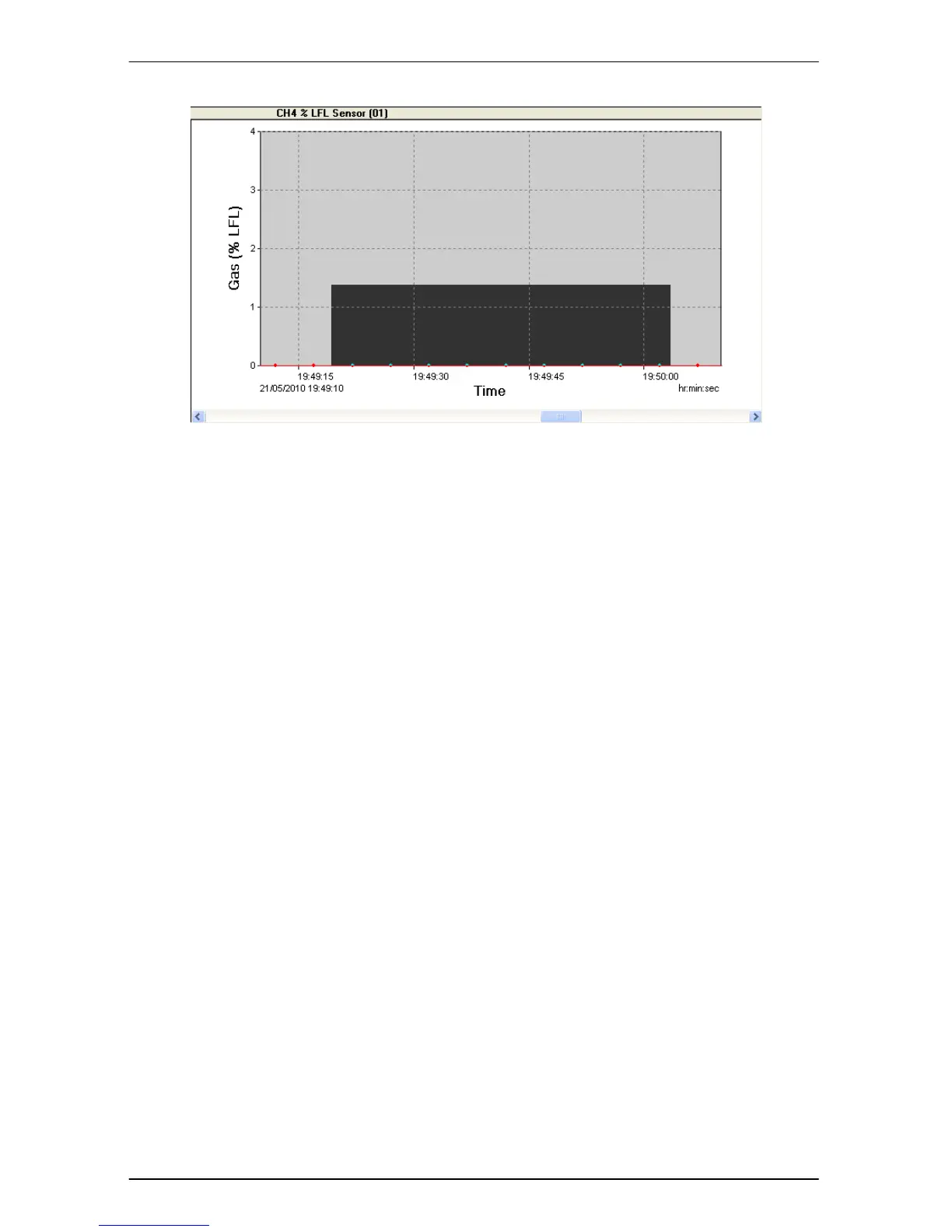
Figure 45 Graph zoom using mouse
When a specific sensor is highlighted in the Detector Overviewzone of Xtralis
VSC’s main window, only the trend graph for that sensor will be displayed.

Table of Contents

Related product manuals