EasyManua.ls Logo

ABB REF615 G - Page 401

ABB REF615 G
896 pages
Print Icon
To Next Page IconTo Next Page
To Next Page IconTo Next Page
To Previous Page IconTo Previous Page
To Previous Page IconTo Previous Page
Loading...
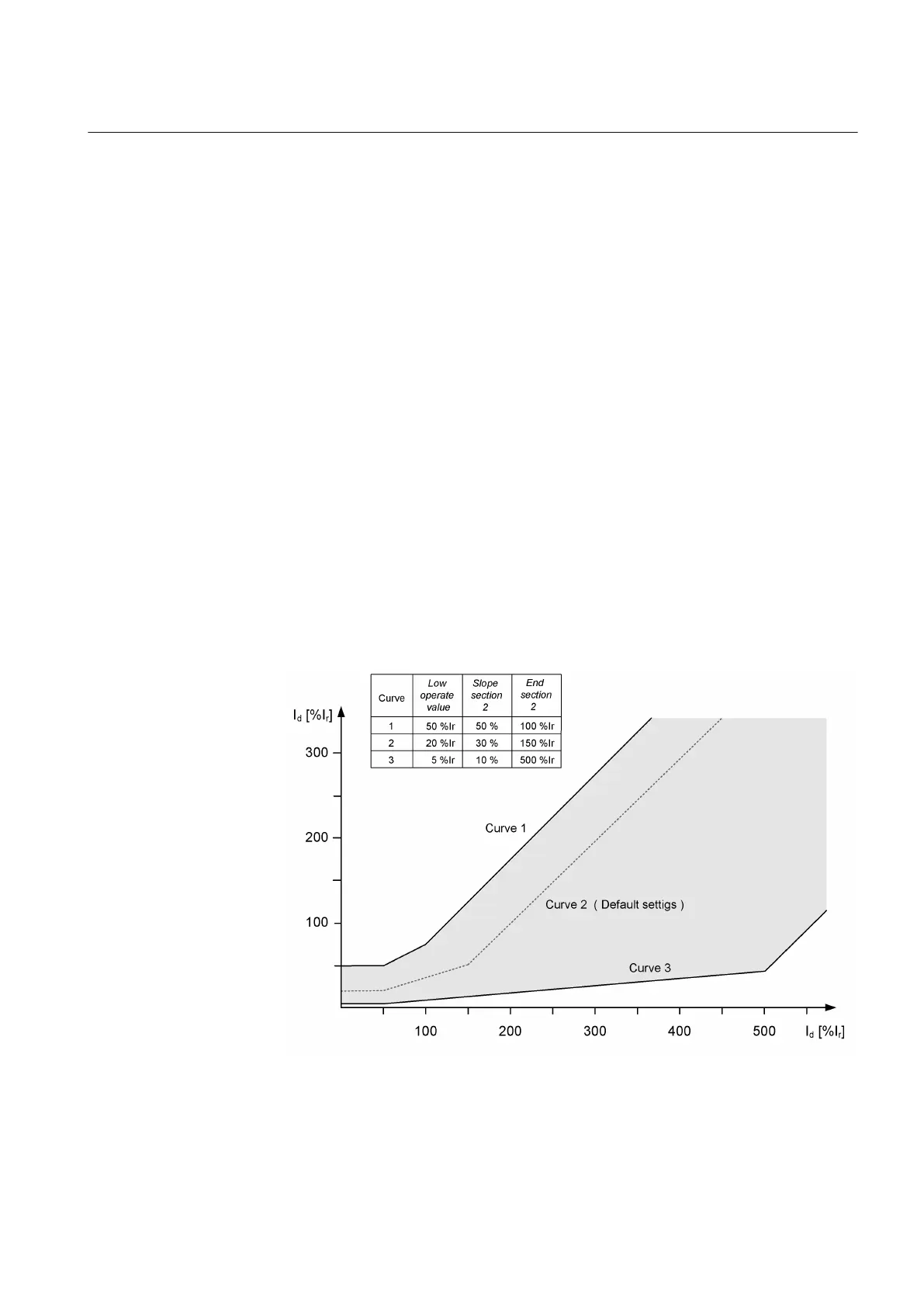
In section 1, where 0 percent Ir < Ib < End section 1, End section 1 being fixed
to 50 percent Ir, the differential current required for tripping is constant. The
value of the differential current is the same as the Low operate value selected
for the function. Low operate value basically allows the no-load current of the
power transformer and small inaccuracies of the current transformers, but it
can also be used to influence the overall level of the operating characteristic.
At the rated current, the no-load losses of the power transformer are about 0.2
percent. If the supply voltage of the power transformer suddenly increases due
to operational disturbances, the magnetizing current of the transformer
increases as well. In general the magnetic flux density of the transformer is
rather high at rated voltage and a rise in voltage by a few percent causes the
magnetizing current to increase by tens of percent. This should be considered
in Low operate value
In section 2, where End section 1 < Ib/In < End section 2, is called the
influence area of Slope section 2. In this section, variations in the starting ratio
affect the slope of the characteristic, that is, how big a change in the
differential current is required for tripping in comparison with the change in
the load current. The starting ratio should consider CT errors and variations in
the transformer tap changer position (if not compensated). Too high a starting
ratio should be avoided, because the sensitivity of the protection for detecting
inter-turn faults depends basically on the starting ratio.
In section 3, where Ib/In > End section 2, the slope of the characteristic is
constant. The slope is 100%, which means that the increase in the differential
current is equal to the corresponding increase in the biasing current.
GUID-739E1789-778D-44BF-BD4A-6BD684BF041D V2 EN
Figure 211: Setting range for biased low stage
1YHT530004D05 D Section 4
Protection functions
615 series 395
Technical Manual

Table of Contents

Related product manuals