EasyManua.ls Logo

Covidien Force FX - Output Power Vs. Resistance Graphs; Bipolar Graphs

Covidien Force FX
246 pages
Print Icon
To Next Page IconTo Next Page
To Next Page IconTo Next Page
To Previous Page IconTo Previous Page
To Previous Page IconTo Previous Page
Loading...
Output Power vs. Resistance Graphs
Technical Specifications
Force FX Electrosurgical Generator C Service Manual 3-27
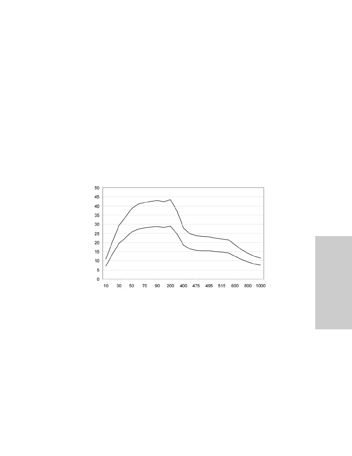
Output Power vs. Resistance Graphs
The graphs that follow depict the changes for each mode at specific power settings.
Note: These curves represent the lower and upper limits of output power with tolerance
included. The normal output power will be halfway between these two curves.
Bipolar Graphs
The insulating surface described in IEC 60601-2-2 was used to obtain the bipolar output
measurements.
Precise Bipolar Mode
Output power vs. impedance for Precise bipolar 35W mode
Load Resistance (ohms)
Output Power (watts)

Table of Contents

Related product manuals