EasyManua.ls Logo

Covidien Force FX - Page 69

Covidien Force FX
246 pages
Print Icon
To Next Page IconTo Next Page
To Next Page IconTo Next Page
To Previous Page IconTo Previous Page
To Previous Page IconTo Previous Page
Loading...
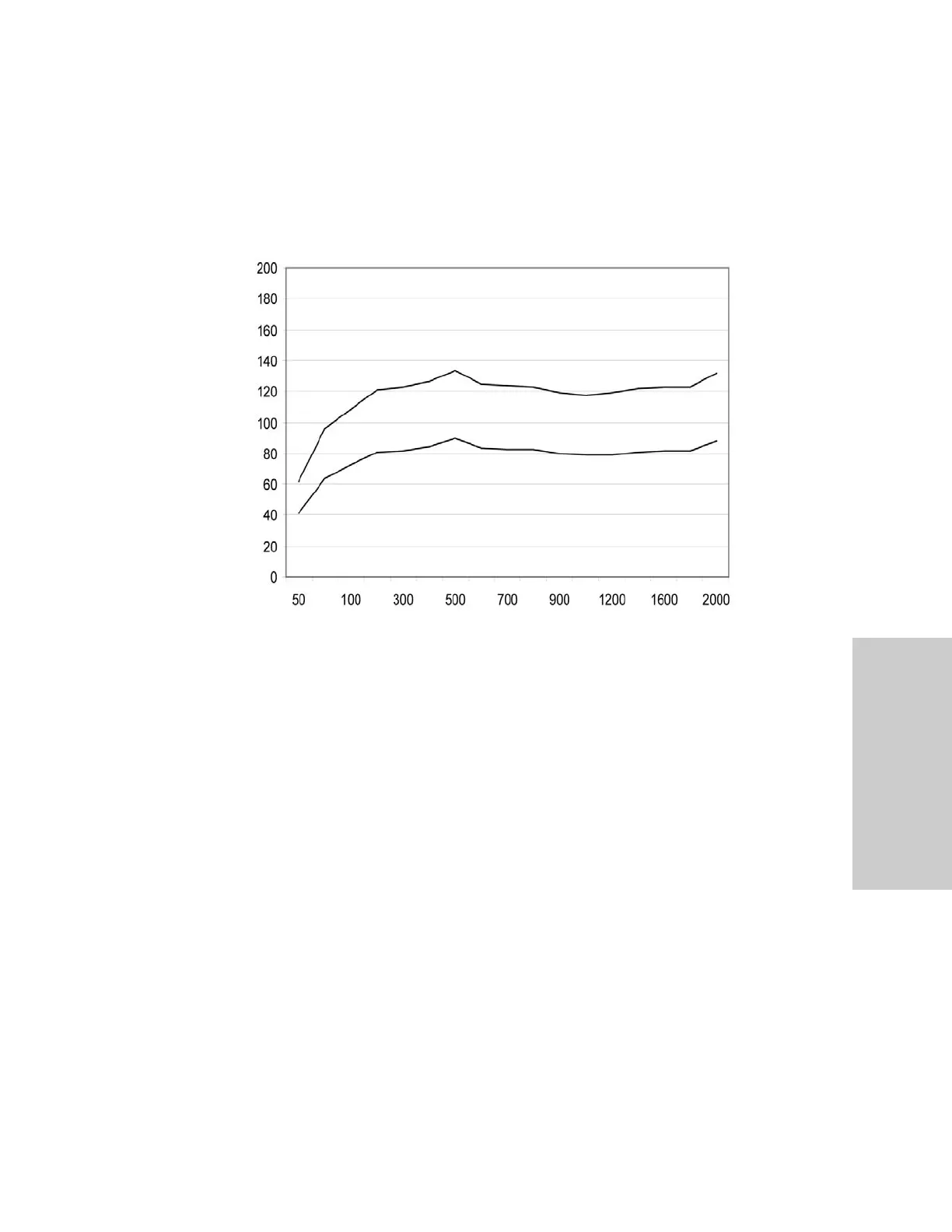
Output Power vs. Resistance Graphs
Technical Specifications
Force FX Electrosurgical Generator C Service Manual 3-39
Blend Cut Mode
Output power vs. impedance for Blend cut 100W mode
Load Resistance (ohms)
Output Power (watts)

Table of Contents