EasyManua.ls Logo

Delta Elektronika SM15K - Watchdog

Delta Elektronika SM15K
44 pages
Print Icon
To Next Page IconTo Next Page
To Next Page IconTo Next Page
To Previous Page IconTo Previous Page
To Previous Page IconTo Previous Page
Loading...
Ethernet & Sequencer Programming SM15K
16 / 44 DELTA ELEKTRONIKA B.V. rev. Aug. 2019
Note: When a password is unknown or forgotten, the reset switch can be pressed for four seconds. This
will restore the factory default password. The Network settings will also be set to factory default "DHCP
Enable".In the SM15K manual, see paragraph 8.10 for a detailed description about the reset switch.
To store the new password, refer to section 5.1(*SAV)
To read if a password is used, send the query
Syntax : SYSTem:PASsword:STAtus?<term>
If no password is used, the SM15K will return 0<term>, otherwise it returns 1<term>.
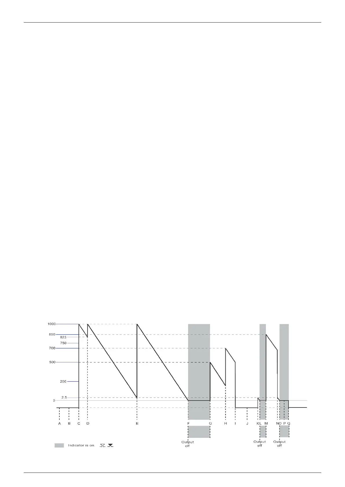
5.6.10 Watchdog
The SM15K provides a Watchdog timer on the Ethernet interface. The power supply monitors the Ethernet
communication when set and disables its power output when no Ethernet command is received within the
time set.
The Watchdog timer is disabled after a power-on event. Send the set command once to activate the
Watchdog timer and reset the timer by sending any valid Ethernet command at regular intervals.
To set the Watchdog timer (in ms):
Syntax : SYSTem:COMmunicate:WATchdog<sp>SET,<NR1><term> <NR1>= 20…10000
To read the last setting: (valid until Timeout)
Syntax : SYSTem:COMmunicate:WATchdog<sp>SET?<term>
To read the current state of the Watchdog timer:
Syntax : SYSTem:COMmunicate:WATchdog?<term>
There are three possibilities:
20…10000<term> Current timer value in ms
0<term> Timeout. Clears indicator on Front panel and Web
-1<term> Clears Timeout, Watchdog is off
To disable the Watchdog timer:
Syntax : SYSTem:COMmunicate:WATchdog<sp>STOP<term>
To test the Watchdog timer:
Syntax : SYSTem:COMmunicate:WATchdog<sp>TEST<term>
The timer will be set to 2.5ms and expires very quickly. The indicator on the Front panel and Web will be
activated. Enable, disable or query the state of the Watchdog timer to clear the indicators.
Watchdog Example
A = Power on event, communication with the watchdog is off.
B = Gives -1, Indicates that the watchdog is still off.

Table of Contents

Other manuals for Delta Elektronika SM15K

Related product manuals