EasyManua.ls Logo

E-Mu Proteus - Page 98

E-Mu Proteus
132 pages
Print Icon
To Next Page IconTo Next Page
To Next Page IconTo Next Page
To Previous Page IconTo Previous Page
To Previous Page IconTo Previous Page
Loading...
96
Proteus operation manual
PROTEUS/2 INSTRUMENTS
12345678910 151617 3118
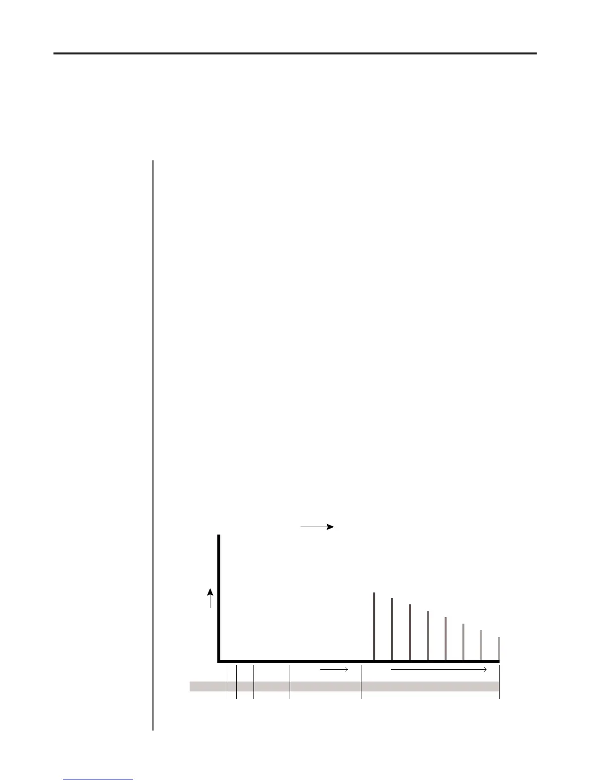
12 3 4 5
Harmonic
Octave
Frequency (log)
Level
OCTAVE-5 ODD
17
19
21
23
25
27
29
31
HARMONIC WAVEFORMS
72. Oct 1 (Sine)
73. Oct 2 All
74. Oct 3 All
75. Oct 4 All
76. Oct 5 All
77. Oct 6 All
78. Oct 7 All
79. Oct 2 Odd
80. Oct 3 Odd
81. Oct 4 Odd
82. Oct 5 Odd
83. Oct 6 Odd
84. Oct 7 Odd
85. Oct 2 Even
86. Oct 3 Even
87. Oct 4 Even
88. Oct 5 Even
89. Oct 6 Even
90. Oct 7 Even
91. Low Odds
92. Low Evens
93. Four Octaves
As an example, this chart shows the harmonics present in the Octave 5 Odd waveform.
These are the same waveforms that are in
the Proteus/1 and are very useful, either
to accent certain harmonics in the
sampled sounds, or combined with other
waveforms for synthesized and additive
timbres.
Proteus/2 Harmonic Waveforms

Table of Contents

Related product manuals