EasyManua.ls Logo

EKOM DK50 PLUS/M - Page 74

EKOM DK50 PLUS/M
240 pages
Print Icon
To Next Page IconTo Next Page
To Next Page IconTo Next Page
To Previous Page IconTo Previous Page
To Previous Page IconTo Previous Page
Loading...
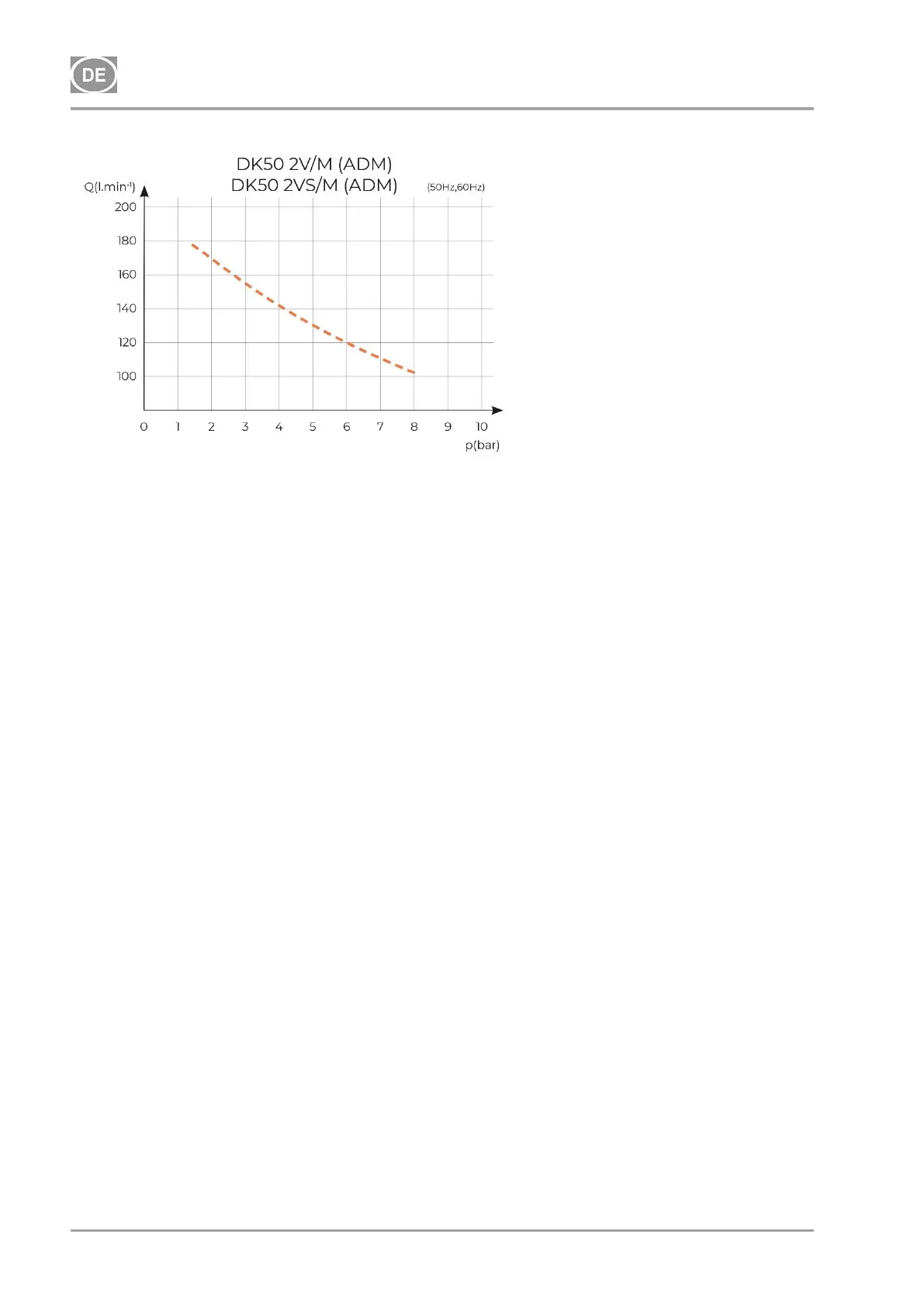
TECHNISCHE DATEN
NP-DK50 2V-A-4_10-2022-AD 74 10/2022
Abhängigkeit von Kompressorkapazität und Arbeitsdruck

Table of Contents

Related product manuals