EasyManua.ls Logo

EKOM DK50 PLUS/M - Page 75

EKOM DK50 PLUS/M
240 pages
Print Icon
To Next Page IconTo Next Page
To Next Page IconTo Next Page
To Previous Page IconTo Previous Page
To Previous Page IconTo Previous Page
Loading...
TECHNISCHE DATEN
10/2022 75 NP-DK50 2V-A-4_10-2022-AD
Arbeitsdruck 6 bis 8 bar
DK50 2V/M
DK50 2V S/M
Nennspannung
Frequenz
a)
V, Hz
230, 50
230, 50
Kapazität bei 6 bar (FAD)
l/min
115
115
Arbeitsdruck
b)
bar
6,0 8,0
6,0 8,0
Nennstrom
A
8,8
9,0
Motorleistung
kW
1,2
1,2
Volumen Drucklufttank
l
25
25
Luftqualität – Filterung
m
-
-
Max. Betriebsdruck des Sicherheitsventils
bar
11,0
11,0
Geräuschpegel bei 5 bar (L
pA
)
dB
≤69,0
≤55,0
Betriebsmodus
%
S1-100
S1-100
DTP-Trocknungsleistung bei 7 bar
d)
°C
-40
-40
Warnung niedriger Druck im Trockner
bar
< 3
< 3
Warnung hoher Druck im Trockner
bar
˃ 9
˃ 9
Warnung hoher Taupunkt im Trockner
°C
˃ -40
˃ -40
Zeit, den Druckluftspeicher von 0 bis 7 bar zu
füllen
s
100
100
Abmessungen (netto)
L x B x H
mm
460x620x720
560x720x880
Nettogewicht
c)
kg
69
110
a)
Bei Bestellung die Kompressorversion angeben
b)
Für andere Druckbereiche kontaktieren Sie den Lieferanten
c)
Das Gewicht ist vorläufig und gilt nur für das Produkt ohne Zubehörteile
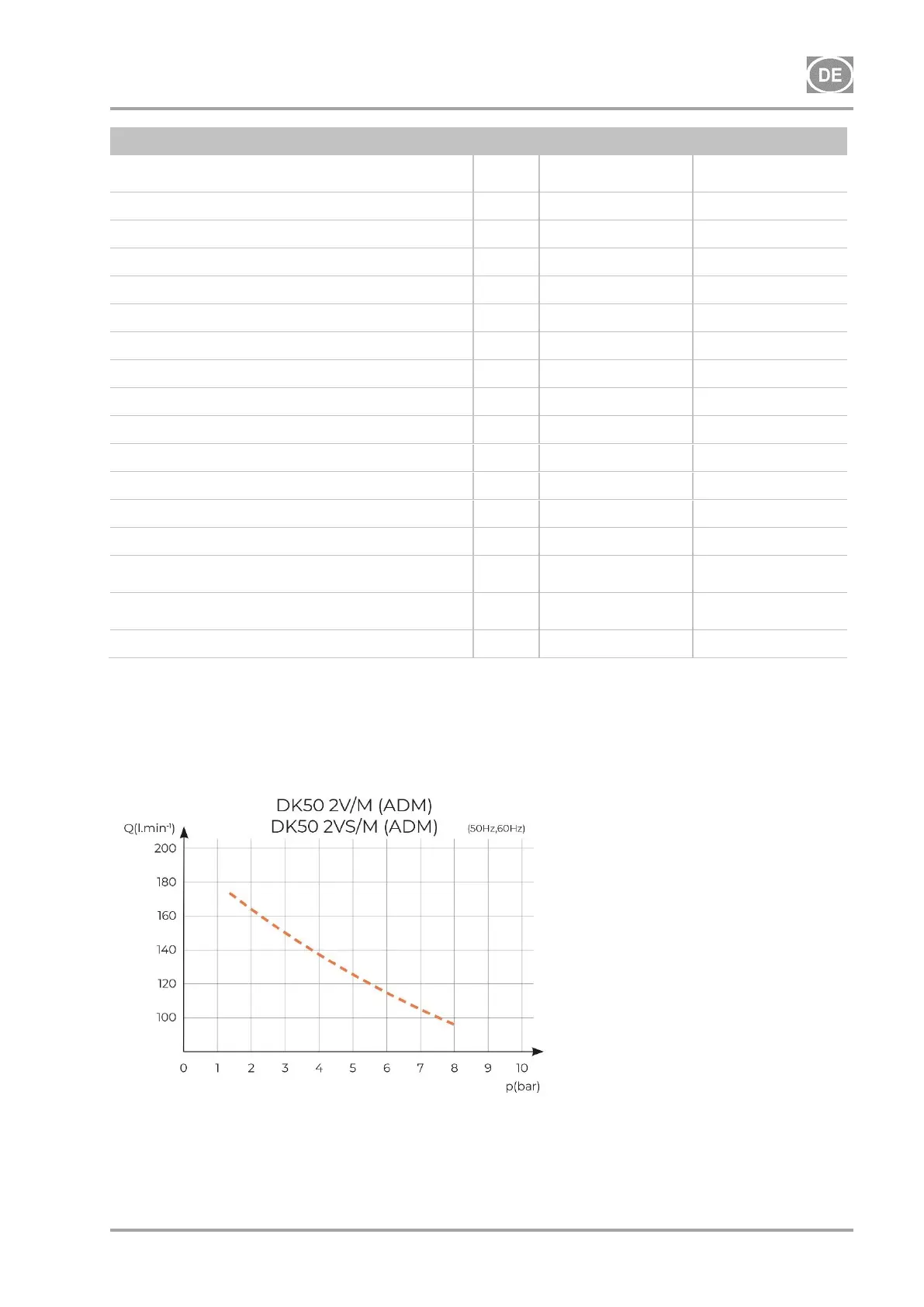
Abhängigkeit von Kompressorkapazität und Arbeitsdruck

Table of Contents

Related product manuals