EasyManua.ls Logo

ESAB PT-36 - Page 41

ESAB PT-36
42 pages
Print Icon
To Next Page IconTo Next Page
To Next Page IconTo Next Page
To Previous Page IconTo Previous Page
To Previous Page IconTo Previous Page
Loading...
171
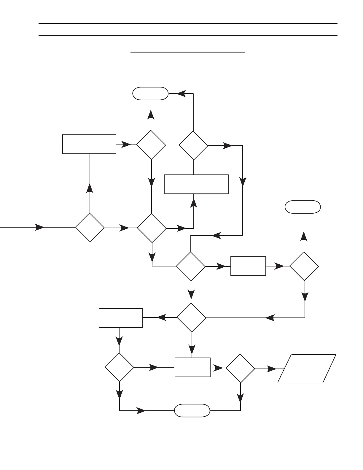
Problem: Failure to start
Install shield retainer, air
curtain p/n 0558004616
Set shield gas correctly. Try
higher ows if necessary.
Using
plastic
shield
retainer?
Is
shield gas
set correctly?
Set p.a. to
high
Is p.a. set
to “high”?
Correct air curtain
installation
Air
curtain
installed cor-
rectly?
Increase air
curtain setting
- clean table
- troubleshoot HF
intensity
- replace torch
Fixed ?
Fixed ?
YES
NO
YES
NO
YES
YES
NO
YES
NO
YES
YES
YES
NO
NO
YES
NO
YES
NO
NO
SECTION 5 MAINTENANCE
Done
Done
Fixed ?
Fixed ?
Fixed ?
Done

Other manuals for ESAB PT-36

Related product manuals