EasyManua.ls Logo

ESAB PT-36 - Troubleshooting: Failure to Start

ESAB PT-36
42 pages
Print Icon
To Next Page IconTo Next Page
To Next Page IconTo Next Page
To Previous Page IconTo Previous Page
To Previous Page IconTo Previous Page
Loading...
170
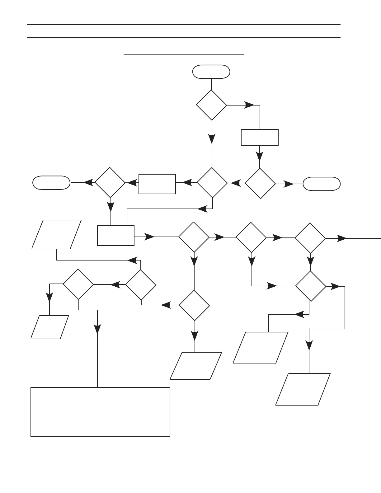
Problem: Failure to start
- check that start gas setting is not high
- check that torch is not mounted on stainless steel
- check for nozzle to electrode short
- check that contact ring is making good contact to the nozzle
- check pilot arc wire continuity from wire terminal to nozzle
- check for shorted torch body
- check coolant conductivity
- check for coolant leaks
Is there an
error message?
Address
system error
Change nozzle
and electrode
Are
consumables
worn out?
Are
you cutting
under water?
Will
arc transfer
above water?
Done
Troubleshoot
control & arc
starter box
Try to re
torch in air
Was there
a pilot arc?
Check start
gas ow
Is
there a spark
at the torch?
Is
there spark
at arc starter
box?
Is
there OCV at
the power
source?
Troubleshoot
control & power
supply
Will
it re at
close standos?
- work piece not
connected to
power supply
- current set
too low
- low pilot arc
setting
- troubleshoot
arc starting
network
NO
Done
Fixed ?
Fixed ?
YES
YES
YES
YES
YES
YES
YES
NO
YES
NO
NO
NO
YES
NO
YES
START
NO
YES
SECTION 5 MAINTENANCE
NO
NO
NO
NO

Other manuals for ESAB PT-36

Related product manuals