EasyManua.ls Logo

Henkelman Jumbo Plus - Figure 8: Water Vapour Line

Default Icon
44 pages
Print Icon
To Next Page IconTo Next Page
To Next Page IconTo Next Page
To Previous Page IconTo Previous Page
To Previous Page IconTo Previous Page
Loading...
USER MANUAL
27
Jumbo Version: JUM-EN-UL-0 23-03-15
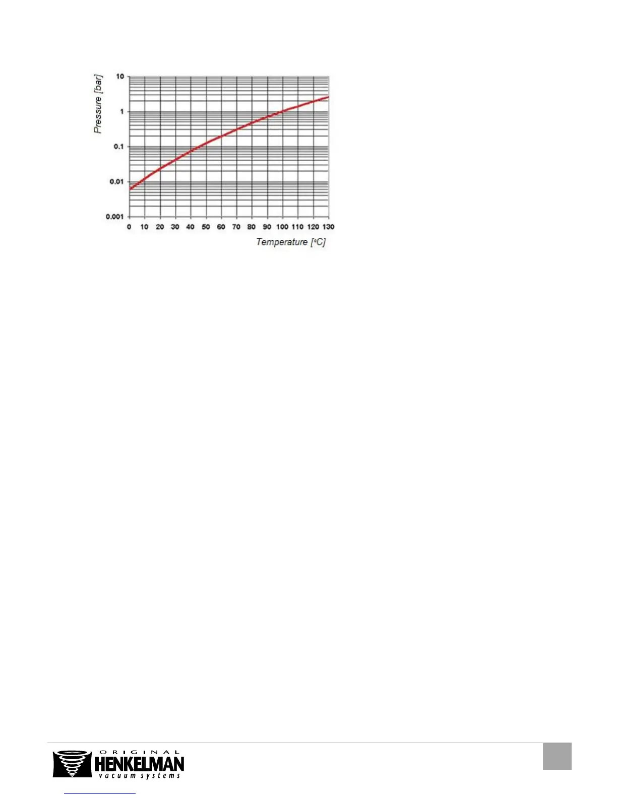
Figure 8: Water vapour line

Table of Contents

Other manuals for Henkelman Jumbo Plus

Related product manuals