EasyManua.ls Logo

Hirschmann MACH 100 - Page 40

Hirschmann MACH 100
294 pages
Print Icon
To Next Page IconTo Next Page
To Next Page IconTo Next Page
To Previous Page IconTo Previous Page
To Previous Page IconTo Previous Page
Loading...
Entering the IP Parameters
40
2.4
Loading the system configuration
from the ACA
Basic Configuration
Release
6.0
07/2010
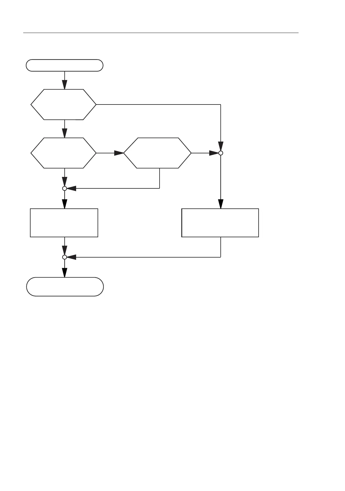
Figure 12: Flow chart of loading configuration dats from the ACA
1 – Device start-up
2 – ACA plugged-in?
3 – Password in device and ACA identical?
3a – Default password in device?
4 – Load configuration from ACA,
ACA LEDs flashing synchronously
4a –Load configuration from local memory,
ACA LEDs flashing alternately
5 – Configuration data loaded
2
1
4
0
3
1
0
3a
1
0
5
4a
1

Table of Contents

Other manuals for Hirschmann MACH 100

Related product manuals