EasyManua.ls Logo

Honda BF15D - Page 29

Honda BF15D
398 pages
Print Icon
To Next Page IconTo Next Page
To Next Page IconTo Next Page
To Previous Page IconTo Previous Page
To Previous Page IconTo Previous Page
Loading...
BF15D.BF20D
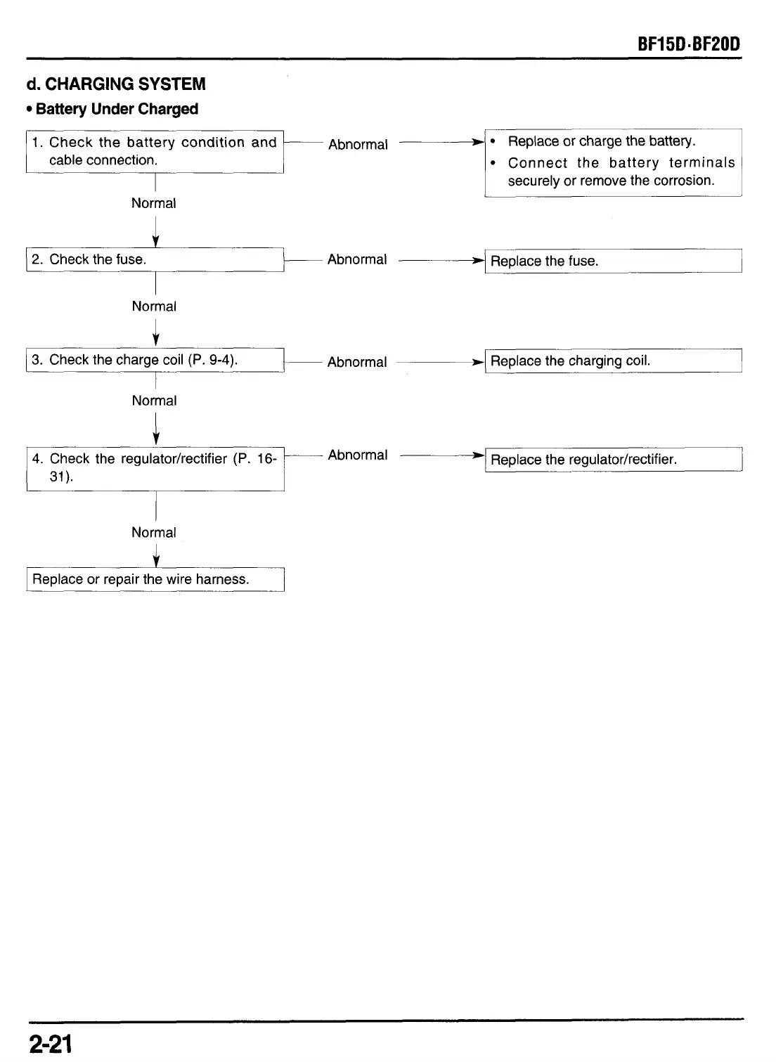
d.
CHARGING
SYSTEM
Battery Under Charged
+
1.
Check the battery condition and
cable connection.
Normal
Replace the charging coil.
Abnormal
~
4.
Check the regulatorhectifier
(P.
16-
31).
I
Normal
-
Abnormal
-1
Replace the regulator/rectifier.
-1
Connect the battery terminals
Abnormal
-1
ReDlace the fuse.
I
t
Abnormal
Normal
!
Normal
if
Replace
or
repair the wire harness.
2-21

Table of Contents

Other manuals for Honda BF15D

Related product manuals