EasyManua.ls Logo

Humeau LIGHTNING MVP ICON - Raw Data; Sorting Raw Data; Viewing Results by Sample Plan; Printing Data

Humeau LIGHTNING MVP ICON
87 pages
Print Icon
To Next Page IconTo Next Page
To Next Page IconTo Next Page
To Previous Page IconTo Previous Page
To Previous Page IconTo Previous Page
Loading...
Test Point Trend Computed Data
There is one option of computed data for this report.
Results Plots each test point result (as scatter plot) over a period of time; sorting
defaults by test point number in ascending order; Grouped Data not an option
Note: To view results by hour select “Hour” under Date Type.
Re-Test Trend
This report provides a historical view of test points that have been re-tested after having
previously failed over a period of time. Ideally, a test point will have been re-cleaned and re-
tested every time it has produced a warn or fail result. By sorting the data by percentage or
number of re-tests in ascending order, the chart will highlight which test point was re-tested the
least amount of times.
This information helps direct action; improving the cleaning process and the program’s health
over a period of time.
Note: It is critical before testing with the MVP ICON to determine if only failed results will be re-
tested or if results with both a fail and warn reading will be re-tested, per your standard
operating procedures. This impacts how the re-test data is displayed in the graph.
Available chart types
Column
Line
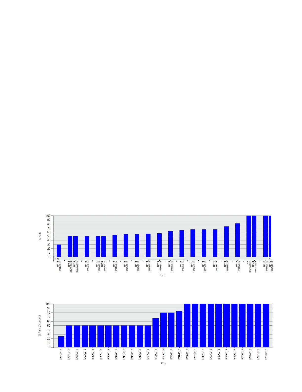
Re-Test Trend Column
% Fails by Test Point
Sorted by % Fails in
ascending order
Re-Test Trend Column
% Fails (Grouped)
Sorted by % Fails (Grouped) in
ascending order
Re-Test Trend Column
% Fails
51

Table of Contents