EasyManua.ls Logo

MSA altair 5 - Password Protected Options

MSA altair 5
76 pages
Print Icon
To Next Page IconTo Next Page
To Next Page IconTo Next Page
To Previous Page IconTo Previous Page
To Previous Page IconTo Previous Page
Loading...
GB
MSA APPENDIX – FLOW CHARTS
ALTAIR 5 - Operating Manual 67
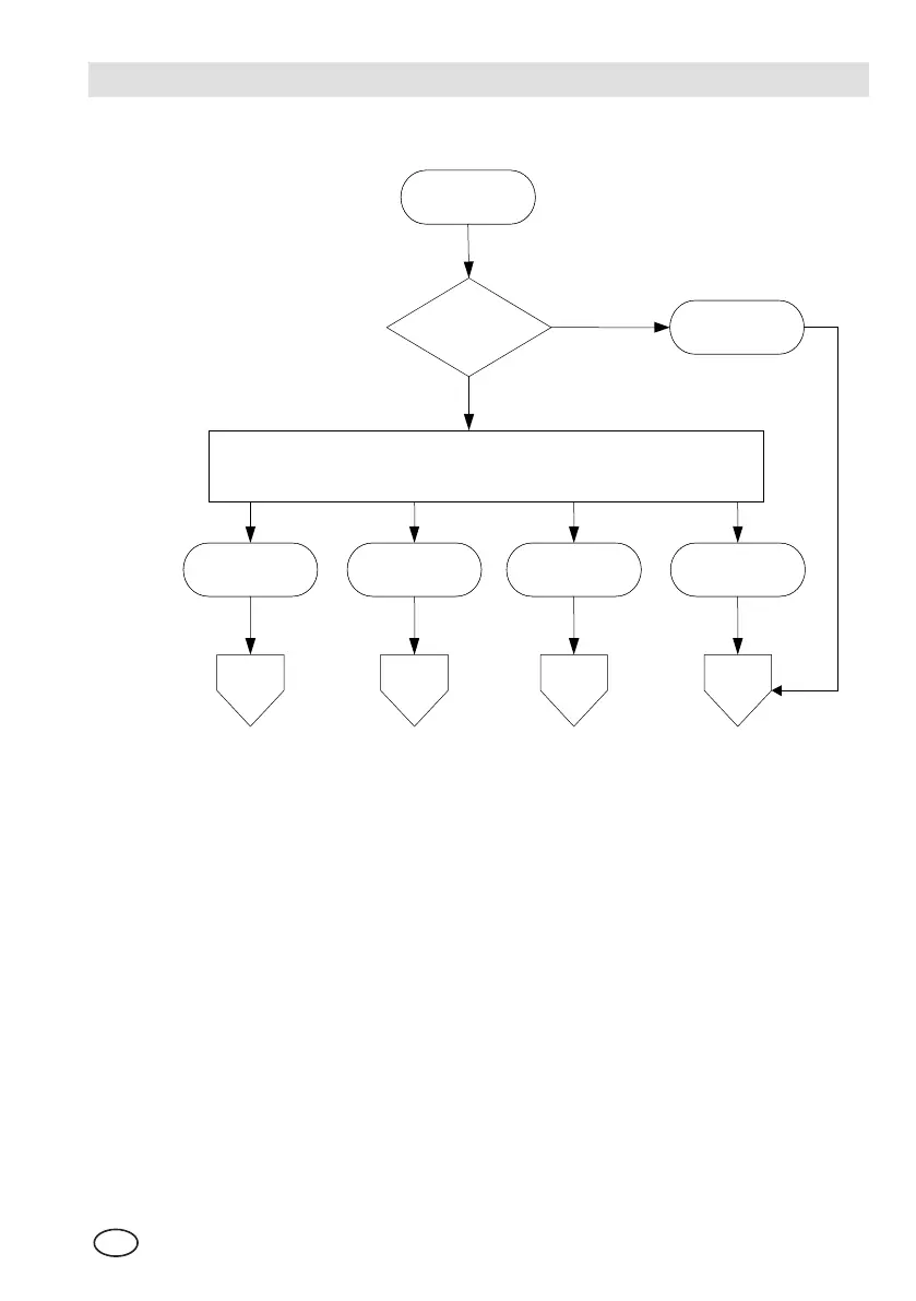
7.4. Password Protected Options
Password
prompt
Password
correct?
Calibration
Options
YES
Main Page
NO
Alarm
Options
Instrument
Options
Options to Select
Main Page