EasyManua.ls Logo

OncoTherm EHY-2000plus - Device Control; Display-EHY-2000 Plus

OncoTherm EHY-2000plus
86 pages
Print Icon
To Next Page IconTo Next Page
To Next Page IconTo Next Page
To Previous Page IconTo Previous Page
To Previous Page IconTo Previous Page
Loading...
plus
UM - EHY2000plus-R24
21
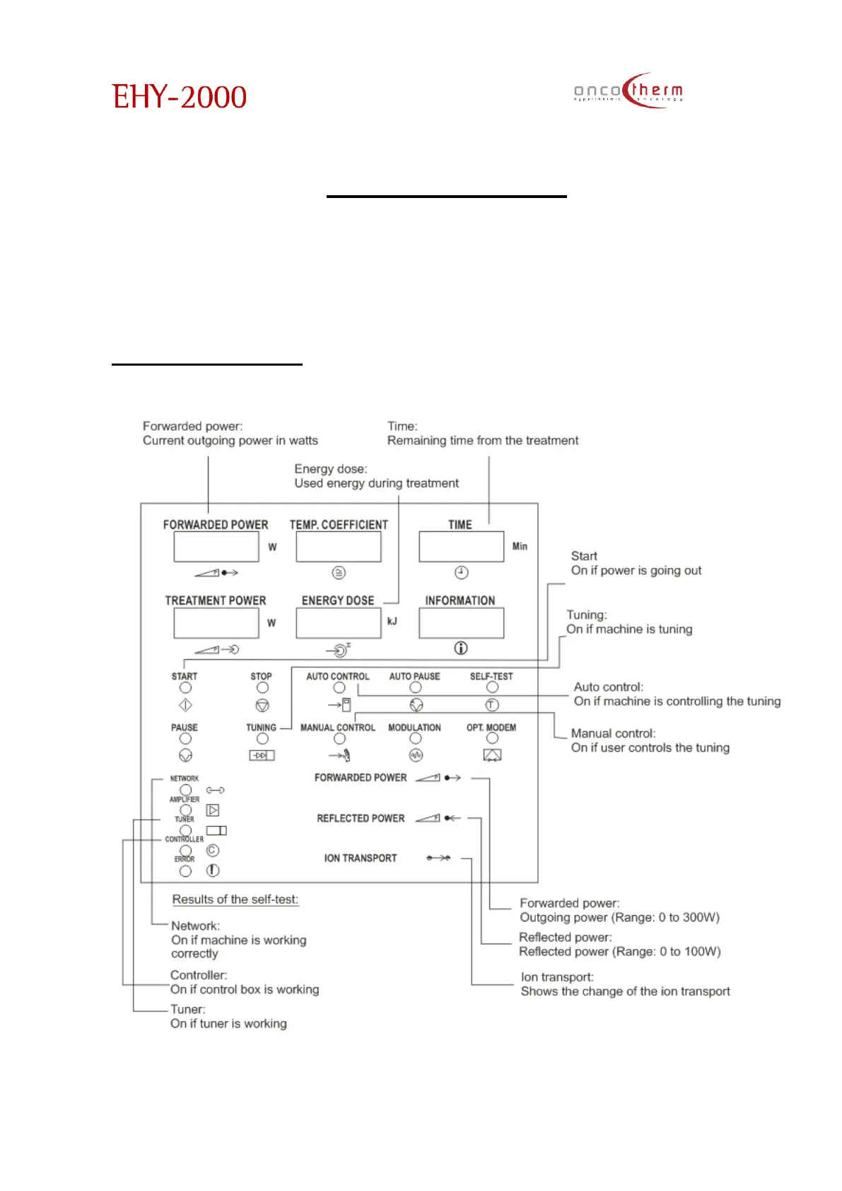
Device control
The Oncotherm EHY-2000plus is devoted to the high level requirements of modern
medical practice. The equipment is isolated from the common power-network for
safety purposes and supported by a specially developed software.
Display-EHY-2000plus