EasyManua.ls Logo

Physio Control LIFEPAK 9 - Component Reference; Introduction; Component Reference Diagrams

Physio Control LIFEPAK 9
214 pages
Print Icon
To Next Page IconTo Next Page
To Next Page IconTo Next Page
To Previous Page IconTo Previous Page
To Previous Page IconTo Previous Page
Loading...
Component
Reference
introduction
This
section
contains
component
diagrams
for
integrated
circuits
selected
from
the
PCB
assembly
schematics.
Each
figure
contains
some
or
all
of
the
following
information
as
an
aid
in
circuit
analysis
and
troubleshooting:
©
Pin
Configuration
e
Function
Table
e
Block
Diagram.
Caution
Avoid
Component
Damage.
Static
Sensitive
Devices
(SSDs)
reguire
special
handling
procedures
to
prevent
build
up
of
static
charge
without
providing
hazardous
connections
to
the
operator.
Refer
to
Table
5-1,
page
5—3,
to
identify
PCB
assemblies
containing
SSDs.
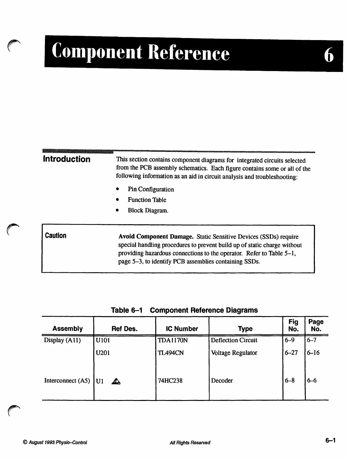
Table
6-1
Component
Reference
Diagrams
Fig
|
Page
Assembly
Ref
Des.
IC
Number
Type
No.
|
No.
Display
(A11)
U101
TDA1170N
Deflection
Circuit
6-9
6-7
U201
TL494CN
Voltage
Regulator
6-27
|6-16
Interconnect
(AS)
}U1
À
74HC238
Decoder
6-8
6-6
©
August
1993
Physio-Control
All
Rights
Reserved
6-1

Table of Contents

Other manuals for Physio Control LIFEPAK 9

Related product manuals