EasyManua.ls Logo

Potterton Paramount four - 9.2.15 Buffer storage tank

Potterton Paramount four
144 pages
Print Icon
To Next Page IconTo Next Page
To Next Page IconTo Next Page
To Previous Page IconTo Previous Page
To Previous Page IconTo Previous Page
Loading...
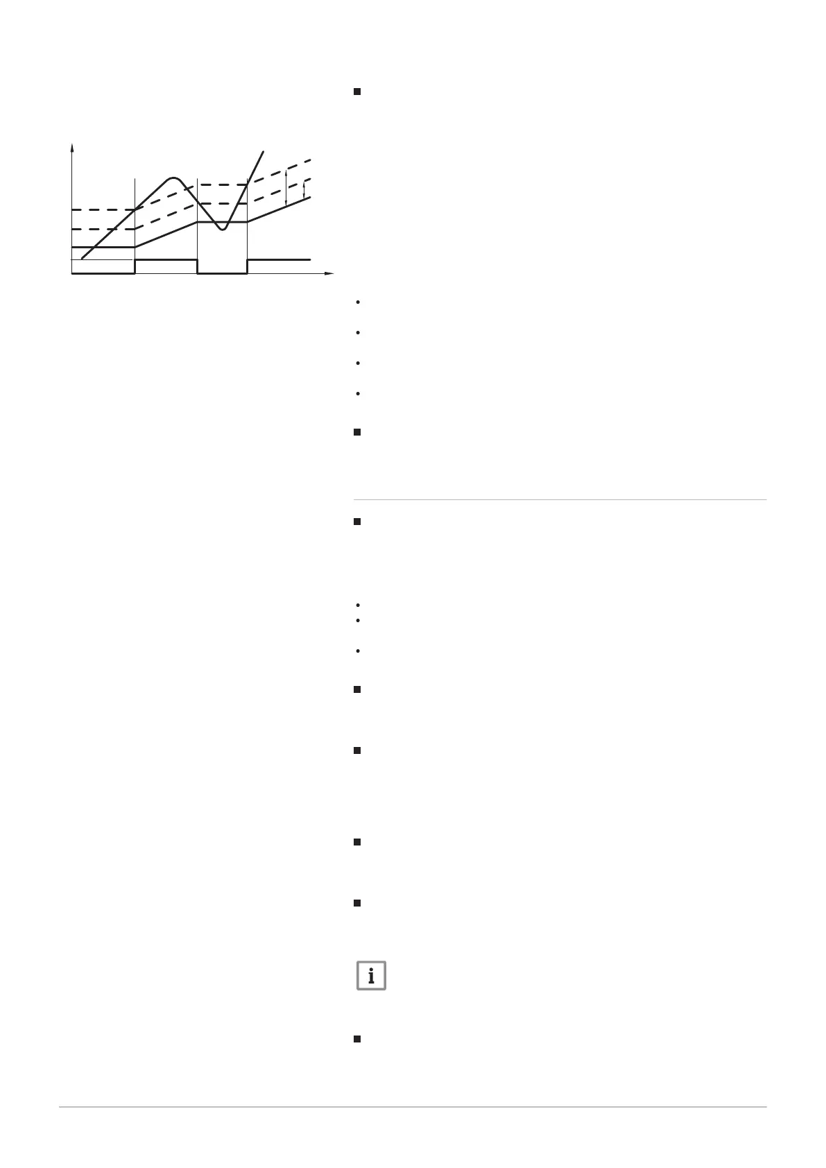
Temp diff on (4130), Temp diff off (4131) and Comparative
temp (4133)
1 / 0 On / off boiler pump
Bx Comparative actual temperature
T1 Temp diff on
T0 Temp diff off
TKx Boiler temperature
TS Storage temperature
t Time
A sufficiently large temperature difference is necessary between the boiler
temperature and the comparative temperature for start-up of the pump.
To maintain the comparative temperature, the following settings are avail
able under prog. no. 4133:
Hot water sensor B3 / Hot water sensor B31: The comparative tempera
ture is supplied by the DHW sensor B3/B31.
Buffer sensor B4 / Buffer sensor B41: The comparative temperature is
supplied by the buffer storage tank sensor B4/B41.
Flow temp setpoint: The flow temperature setpoint is used as compara
tive temperature.
Setpoint min: The value set in prog.no. 4110 is used as comparative
temperature.
Pump overrun time (4140)
Setting pump after-run time.
9.2.15 Buffer storage tank
Auto generation lock (4720)
The hydraulic separation of heat generator and buffer storage tank is ach
ieved by the automatic heat generator lock. The heat generator is only put
into operation if the buffer can no longer cover the current heat demand.
The following settings are possible:
None: The automatic heat generator lock is deactivated.
With B4: The automatic heat generator lock is triggered by the buffer
cylinder B4.
With B4 and B42/B41: The automatic heat generator lock is triggered by
the buffer cylinders B4 and B41/B42.
Auto heat gen lock SD (4721)
The heat generator is locked if the the temperature in the buffer storage
tank is higher than the boiler setpoint+Auto heat gen lock SD.
Temp diff buffer/CH (4722)
If the temperature difference between buffer storage tank and heating cir
cuit temperature request is large enough, the heat required by the heating
circuit will be taken from the buffer storage tank. The heat generator is
locked.
Min st tank temp heat mode (4724)
If the storage tank temperature of the buffer storage tank drops below this
value, the heating circuit is switched of if no generator is available.
Charging temp max (4750)
The buffer storage tank is charged from solar energy up to the set charg
ing temperature maximum.
Note
The collector overheating protection function can put the collector
pump back in operation until the maximum storage tank tempera
ture is reached.
Recooling temp (4755)
The collector overheating protection function can put the collector pump
back in operation until the maximum storage tank temperature is reached.
Fig.31
Storage tank charging
1
0
TKx
T1
T0
TS
Bx
T
t
RA-0000081
9 Settings
7658013 - 02 - 15092016 Paramount four 30 – 115 kW 101

Table of Contents

Related product manuals