EasyManua.ls Logo

R2Sonic 2022 - 11.3 Solving for the Patch Test

R2Sonic 2022
133 pages
Print Icon
To Next Page IconTo Next Page
To Next Page IconTo Next Page
To Previous Page IconTo Previous Page
To Previous Page IconTo Previous Page
Loading...
Page 102 of 133
Version 3.0 Rev r000
Date
25
-
08
-
2010
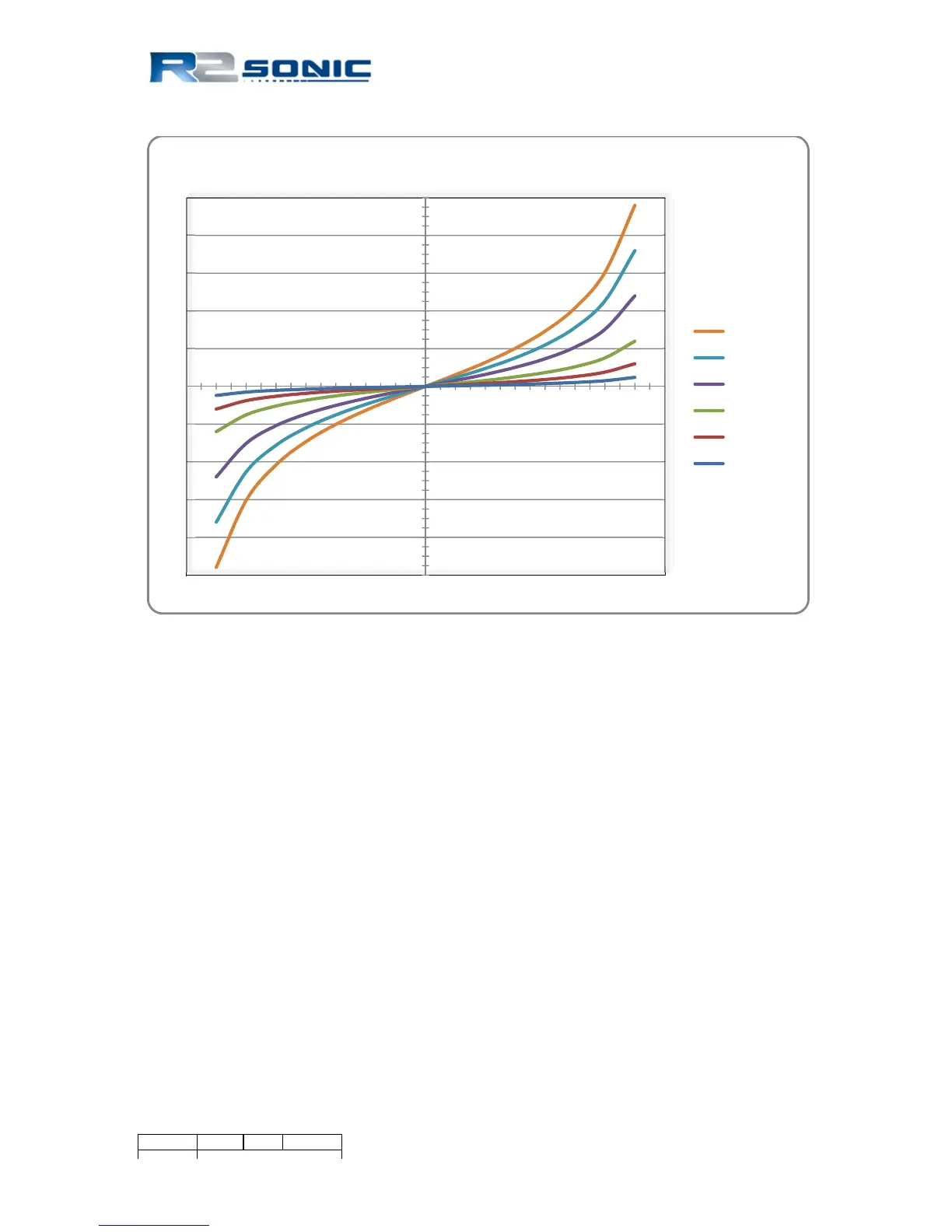
Graph 4: Along-track position error caused by 1.0° error in yaw patch test error
11.3 Solving for the Patch Test
Depending on the data collection software that is employed and how it solves for the patch test,
there will be a distinct order that the tests will be solved for, but this does not influence the data
collection for the patch test. In general, latency will be solved before pitch; roll will be solved for
before yaw. It is not uncommon that a larger than expected error in one of the tests will make it
necessary to go back and resolve for all previous values. This can be the case with a large yaw offset,
as this will influence to a greater degree the accuracy of the latency and pitch computations if done
using a slope.
The resultant patch test values are corrections that are entered in the data collection software and
not in the Sonic 2024/2022 software, as the values are used for process data.
-10
-8
-6
-4
-2
0
2
4
6
8
10
-80 -60 -40 -20 0 20 40 60 80
Along-track Position Error in Metres
Angle from Nadir
Position Error with a Heading Error of 1.0°
200 metres
150 metres
100metre
50 metre
25 metres
10 metres
Water Depth

Table of Contents

Related product manuals