EasyManua.ls Logo

R2Sonic 2022 - 11.2 Patch Test Criteria

R2Sonic 2022
133 pages
Print Icon
To Next Page IconTo Next Page
To Next Page IconTo Next Page
To Previous Page IconTo Previous Page
To Previous Page IconTo Previous Page
Loading...
Page 98 of 133
Version 3.0 Rev r000
Date 25-08-2010
Part No. 96000001
11.2 Patch Test Criteria
The patch test requires collecting sounding data over two distinct types of sea floor topography; a
flat bottom is used for the roll computation whereas a steep slope or feature is used for the latency,
pitch, and yaw data collection.
Care must be taken that the sonar head covers the same area on both data collection runs, this may
not be the same as vessel position, especially with an over-the-side mount or if the sonar head
rotated. Only the latency data collection requires a different speed from normal survey speed.
The data collection for Latency, Pitch and Yaw should be done in as deep water as possible. This is
particularly true for the pitch computation due to the fact that in shallow water the angle of pitch
may not be easily determined due to a lack of resolution.
11.2.1 Latency Test
The vast majority of installations will incorporate GPS time synchronisation and, as such, no latency
is expected in the GPS position. However, it is necessary to complete at least one or two latency
tests to prove that the latency, for all practical purposes, is zero. Most patch test programs will not
yield zero latency, but the derived value would be so small so as to constitute a practical zero.
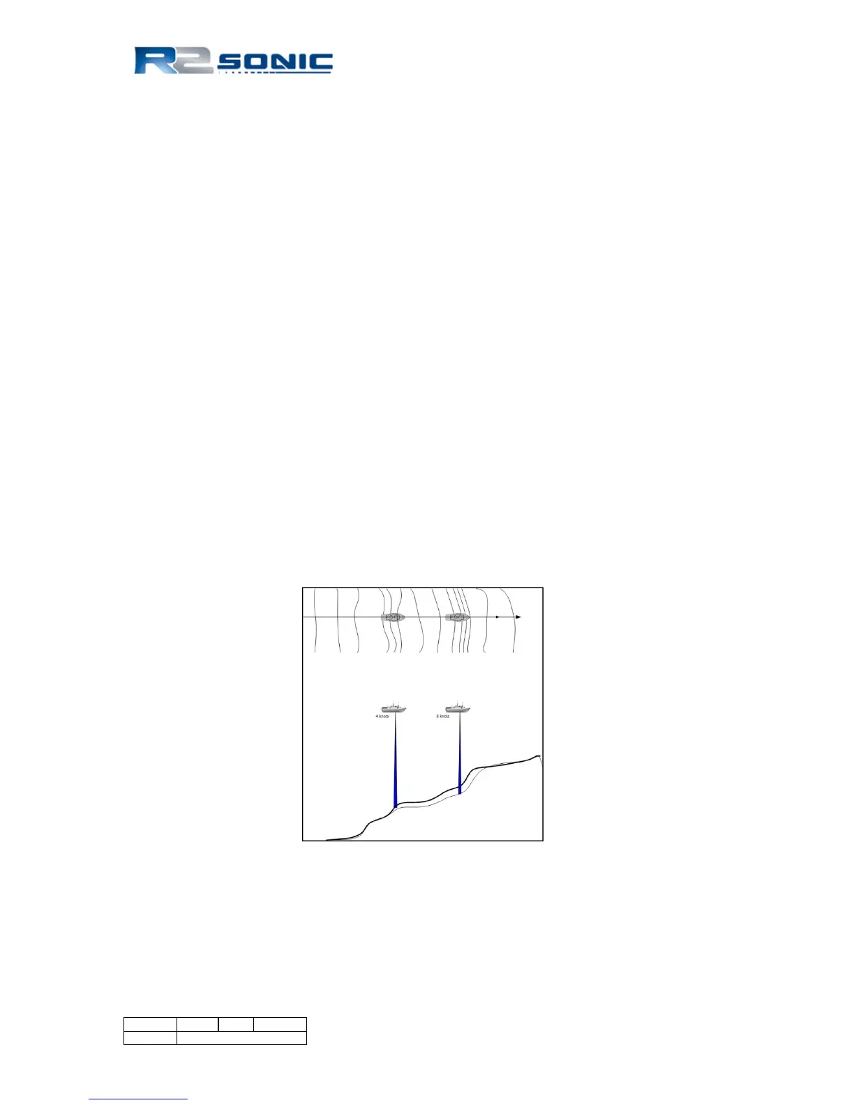
For the latency test, data is collected on a pre-defined line up a steep slope or over a well defined
object (such as a rock or small wreck). The line is surveyed at survey speed up the slope, and then
surveyed again, in the same direction, but at a speed that should be half of the survey speed. If the
vessel cannot make way at half survey speed then the fast run will need to be taken at a higher
speed than normal survey speed and this can influence the latency test due to squat or settlement.
The main consideration is that one line should be twice the speed of the other.
Figure 82: Latency Data collection

Table of Contents

Related product manuals