EasyManua.ls Logo

Samsung Electronics DVM Series - Page 123

Samsung Electronics DVM Series
228 pages
Print Icon
To Next Page IconTo Next Page
To Next Page IconTo Next Page
To Previous Page IconTo Previous Page
To Previous Page IconTo Previous Page
Loading...
ΙΙΙ
. Indoor unit
8. Noise level
ΙΙΙ
64
✻✻
105
✻✻
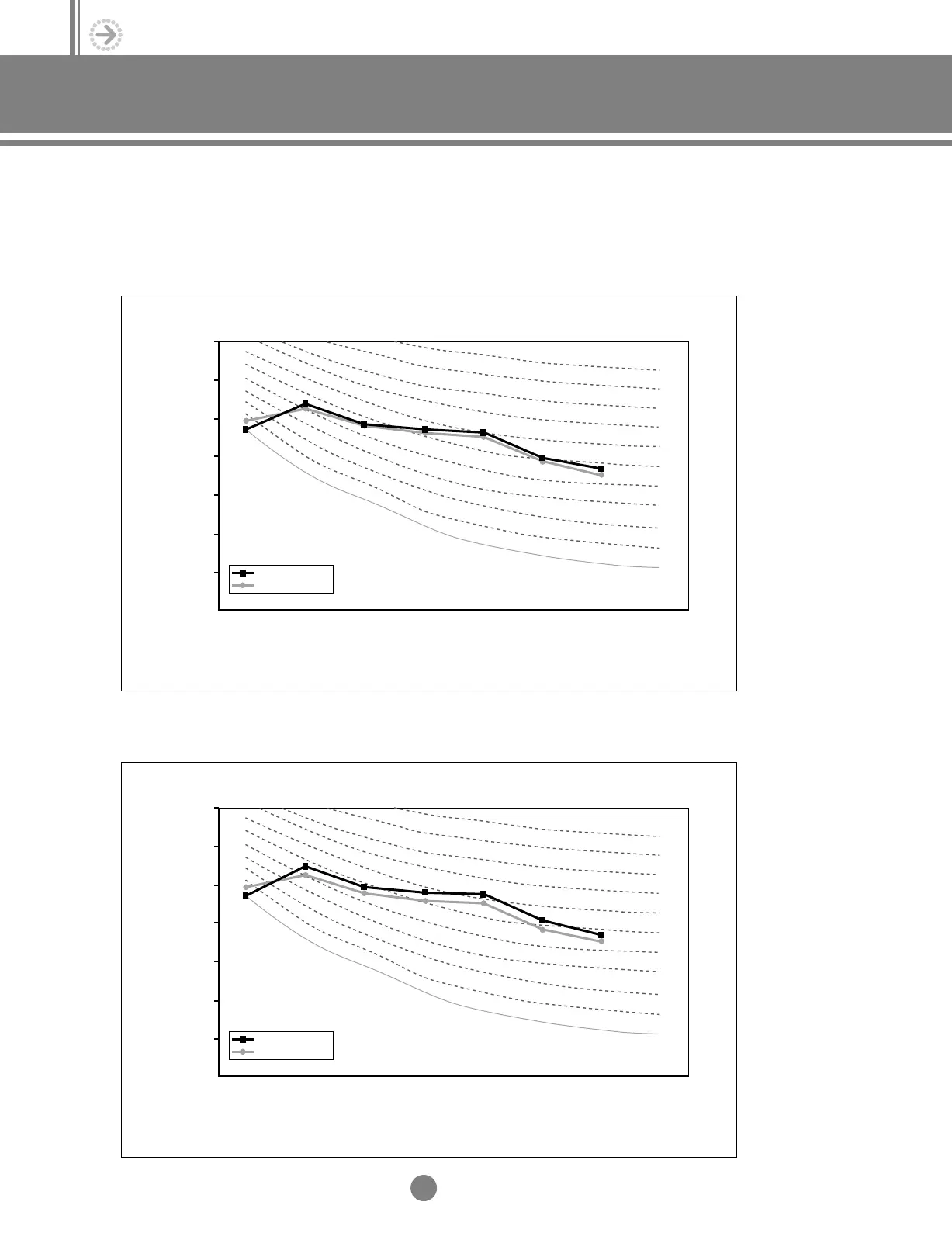
Sound pressure level (dB, ref.2xE-5)
70.0
60.0
50.0
40.0
30.0
20.0
10.0
0.0
63 125 250 500 1000 40002000 8000
NC-65
NC-60
NC-55
NC-50
NC-45
NC-40
NC-35
NC-30
NC-25
NC-20
NC-15
Octave band center frequency(Hz)
High
Low
(5) Duct type (High pressure)
✻✻
128
✻✻
Sound pressure level (dB, ref.2xE-5)
70.0
60.0
50.0
40.0
30.0
20.0
10.0
0.0
63 125 250 500 1000 40002000 8000
NC-65
NC-60
NC-55
NC-50
NC-45
NC-40
NC-35
NC-30
NC-25
NC-20
NC-15
Octave band center frequency(Hz)
High
Low
3-3.Indoor unit_TM_E_06890 2/27/03 10:14 AM Page 64

Table of Contents

Related product manuals