EasyManua.ls Logo

Scanlab RTC 4 - Scan Head and Laser Control

Scanlab RTC 4
136 pages
Print Icon
To Next Page IconTo Next Page
To Next Page IconTo Next Page
To Previous Page IconTo Previous Page
To Previous Page IconTo Previous Page
Loading...
RTC
®
4 PC Interface Board
Rev. 1.3 e
4 Principle Of Operation
15
innovators for industry
4.2 Scan Head And Laser Control
Vector Commands
The basic commands for scan head control are the
jump commands and the mark commands. These
commands require as parameters the X and Y coordi-
nates of the end point of the corresponding vector
(1)
.
Each vector starts at the current output position,
which is usually the end point of the preceding
vector. The initial output position at start-up
(or after a reset of the RTC
®
4) is the center of
the image field, i.e. the point (0|0).
Please refer to chapter 4.4 "Image Field Size", page 29
for a description of the image field coordinate
system.
Jump Commands
A jump command (jump_abs or jump_rel) causes a
(usually) fast movement of the scanner mirrors. The
laser focus "jumps" to the new position. In general,
the laser is switched off during the jump. The jump
speed can be defined with the list command
set_jump_speed (see page 107).
If the laser system does not allow fast switching, the
jump speed must be set high enough to prevent a
visible marking effect on the workpiece. Also see the
command home_position (page 89).
Mark Commands
The RTC
®
4 automatically turns on the laser at the
beginning of a mark command. During a mark
command (mark_abs or mark_rel), the laser focus
moves along the specified vector with a constant
marking speed, producing a straight mark on the
workpiece.
If another mark (or arc) command follows immedi-
ately afterward, the RTC
®
4 leaves the laser on.
Therefore, a sequence of individual mark (and arc)
commands creates a polyline mark. The laser is
turned off after the last mark (or arc) command in a
series of mark (or arc) commands, or if the end of the
current list is reached.
The list command set_mark_speed (see page 109)
defines the marking speed. The marking speed
can be changed anywhere in a list.
Arc Commands
The RTC
®
4 software driver provides arc commands
for marking circular arcs. These commands require
parameters for the X and Y coordinates of the arc
center and the arc angle. The arc starts at the current
output position.
At the beginning of an arc command, the RTC
®
4 also
automatically turns on the laser. During an arc
command (arc_abs or arc_rel), the laser focus moves
with the defined marking speed along the specified
arc. The laser is turned off after the last arc (or mark)
command in a series of arc (or mark) commands, or
if the end of the current list is reached.
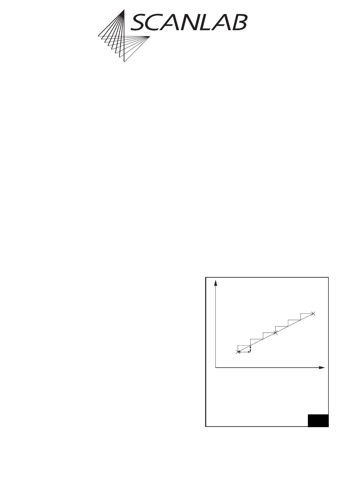
Microsteps
Each vector defined by a jump, mark or arc command
is divided into a number of small steps by the RTC
®
4.
These microsteps are transferred to the scan head at
a constant time rate (output period t) In controlling
its galvanometer scanners, the scan head implements
the steps via an analog servo loop.
Figure 4 shows how the X component of a vector is
divided into microsteps. The Y component is split up
in the same way.
(1) The coordinates must be specified as digital control values
(without units). To avoid confusion with coordinates in [mm],
SCANLAB uses the expression “coordinate values [in Bits]”.
x
Dt
Dx
(t
0
|
x
0
)
(t
1
|
x
1
)
(t
0
+i·Dt
|
x
0
+i·Dx)
x
0
x coordinate of the current output
position before scanning the vector
x
1
x coordinate of the end position
of the vector
Dt step period
Time
4
The X component of a vector is split up into microsteps.

Table of Contents

Related product manuals