EasyManua.ls Logo

Seltron AHC40 - Page 142

Seltron AHC40
160 pages
Print Icon
To Next Page IconTo Next Page
To Next Page IconTo Next Page
To Previous Page IconTo Previous Page
To Previous Page IconTo Previous Page
Loading...
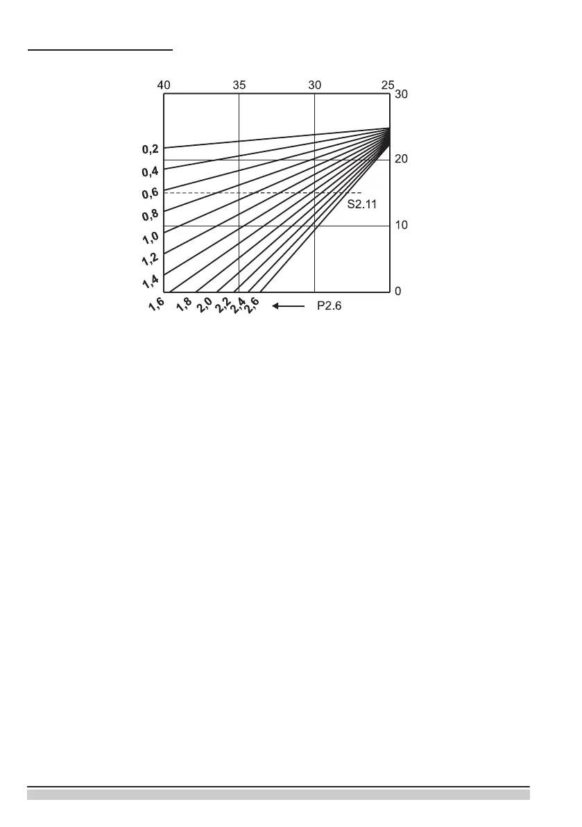
142 Slovensko
zunanja temperatura
temperatura dvižnega voda
Diagram hladilnih krivulj

Table of Contents

Related product manuals