EasyManua.ls Logo

Siemens 6RA8085-6DS22

Siemens 6RA8085-6DS22
758 pages
To Next Page IconTo Next Page
To Next Page IconTo Next Page
To Previous Page IconTo Previous Page
To Previous Page IconTo Previous Page
Loading...
Descriptions of functions
10.20 Thermal overload protection for the DC motor (I2t monitoring of the motor)
SINAMICS DCM DC Converter
586 Operating Instructions, 12/2018, A5E34763375A
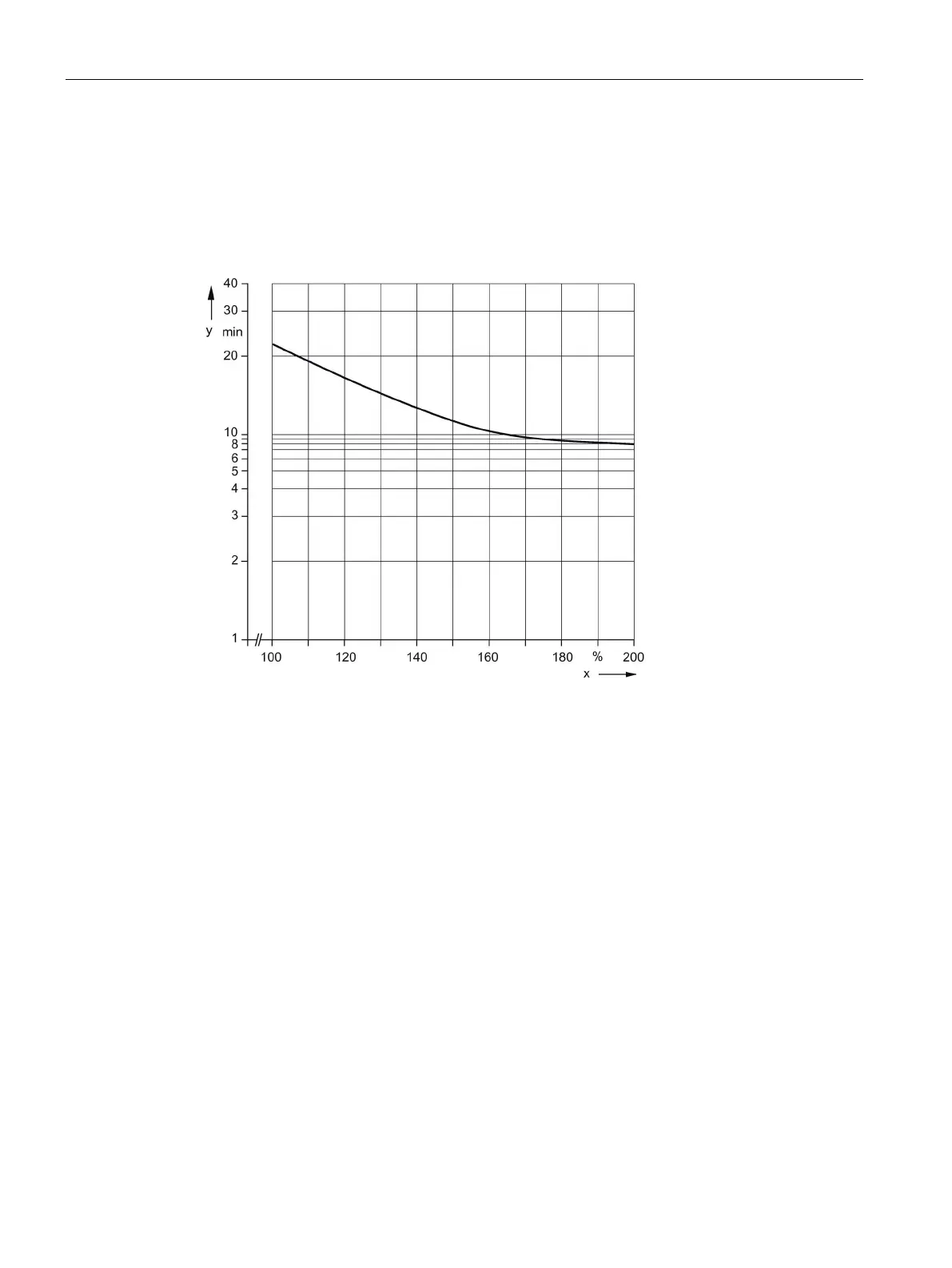
Determining the thermal equivalent time constant (p50114)
It should be noted that the thermal equivalent time constant depends on the maximum
overcurrent.
Thermal equivalent time constant of DC motors 1G . 5/1H . 5 according to Catalog DA12 T
(configuring notes for Catalog DA 12):
y ...
T
therm
, thermal equivalent time constant [min] (p50114)
x ... I/I
N
[%]
I = Maximum overcurrent at which the motor is operated
I
N
= Rated armature current for the motor (p50100)
Figure 10-69 Thermal equivalent time constant

Table of Contents

Related product manuals