EasyManua.ls Logo

Siemens HydroRanger 200 - Characterization Chart [6 Relay Model]; Example Chart

Siemens HydroRanger 200
280 pages
To Next Page IconTo Next Page
To Next Page IconTo Next Page
To Previous Page IconTo Previous Page
To Previous Page IconTo Previous Page
Loading...
Page 50 HydroRanger 200 – INSTRUCTION MANUAL 7ML19985FC03
mmmmm
Volume
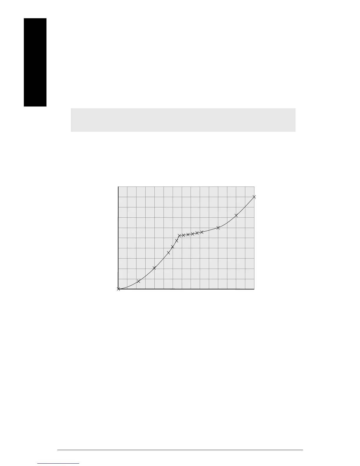
Characterization Chart [6 relay model]
If you cannot use a pre-defined tank, then use one of the universal tank shapes and
program the characterization curve.
1. Plot a volume to height chart. Usually a tank supplier will provide this chart.
However, if you have a custom-built wet well then you will need access to complete
drawings of the well or accurate measurements.
2. Enter the curve values from this chart into P054 and P055.
3. Ensure extra points are added around sharp transitions in the wet well volume (e.g:
as steps in the well wall).
Example Chart
Note: The end points in the curve are 0,0 (fixed) and the point defined by P007–
Span and P051–Maximum Volume.
FLOW
LEVEL (P054)
0,0
VOLUME (P055)
MAX VOLUME
P051

Table of Contents

Related product manuals