EasyManua.ls Logo

SONIX SN8P2501D - System Low-Speed Clock

Default Icon
96 pages
Print Icon
To Next Page IconTo Next Page
To Next Page IconTo Next Page
To Previous Page IconTo Previous Page
To Previous Page IconTo Previous Page
Loading...
SN8P2501D
8-Bit Micro-Controller
SONiX TECHNOLOGY CO., LTD Page 42 Version 1.5
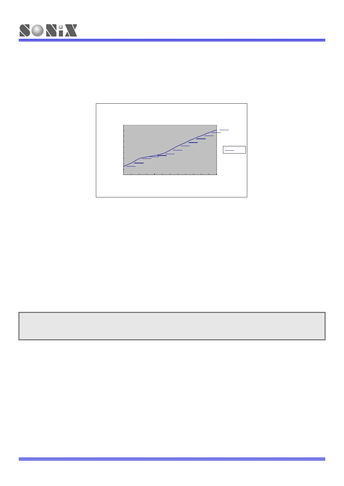
4.5 SYSTEM LOW-SPEED CLOCK
The system low clock source is the internal low-speed oscillator built in the micro-controller. The low-speed oscillator
uses RC type oscillator circuit. The frequency is affected by the voltage and temperature of the system. In common
condition, the frequency of the RC oscillator is about 16KHz at 3V and 32KHz at 5V. The relation between the RC
frequency and voltage is as the following figure.
Internal Low RC Frequency
7.52
10.64
14.72
16.00
17.24
18.88
22.24
25.96
29.20
32.52
35.40
38.08
40.80
0.00
5.00
10.00
15.00
20.00
25.00
30.00
35.00
40.00
45.00
2.1 2.5 3 3.1 3.3 3.5 4 4.5 5 5.5 6 6.5 7
VDD (V)
Freq. (KHz)
ILRC
The internal low RC supports watchdog clock source and system slow mode controlled by CLKMD bit of OSCM
register.
Flosc = Internal low RC oscillator (about 16KHz @3V, 32KHz @5V).
Slow mode Fcpu = Flosc / 4
There are two conditions to stop internal low RC. One is power down mode, and the other is green mode of 32K mode
and watchdog disable. If system is in 32K mode and watchdog disable, only 32K oscillator actives and system is under
low power consumption.
Example: Stop internal low-speed oscillator by power down mode.
B0BSET
FCPUM0
; To stop external high-speed oscillator and internal low-speed
; oscillator called power down mode (sleep mode).
Note: The internal low-speed clock cant be turned off individually. It is controlled by CPUM0, CPUM1
(32K, watchdog disable) bits of OSCM register.

Table of Contents

Related product manuals