EasyManua.ls Logo

Swann AMI Powercon - Page 49

Swann AMI Powercon
96 pages
Print Icon
To Next Page IconTo Next Page
To Next Page IconTo Next Page
To Previous Page IconTo Previous Page
To Previous Page IconTo Previous Page
Loading...
AMI Powercon
Maintenance
A-96.250.341 / 061015 47
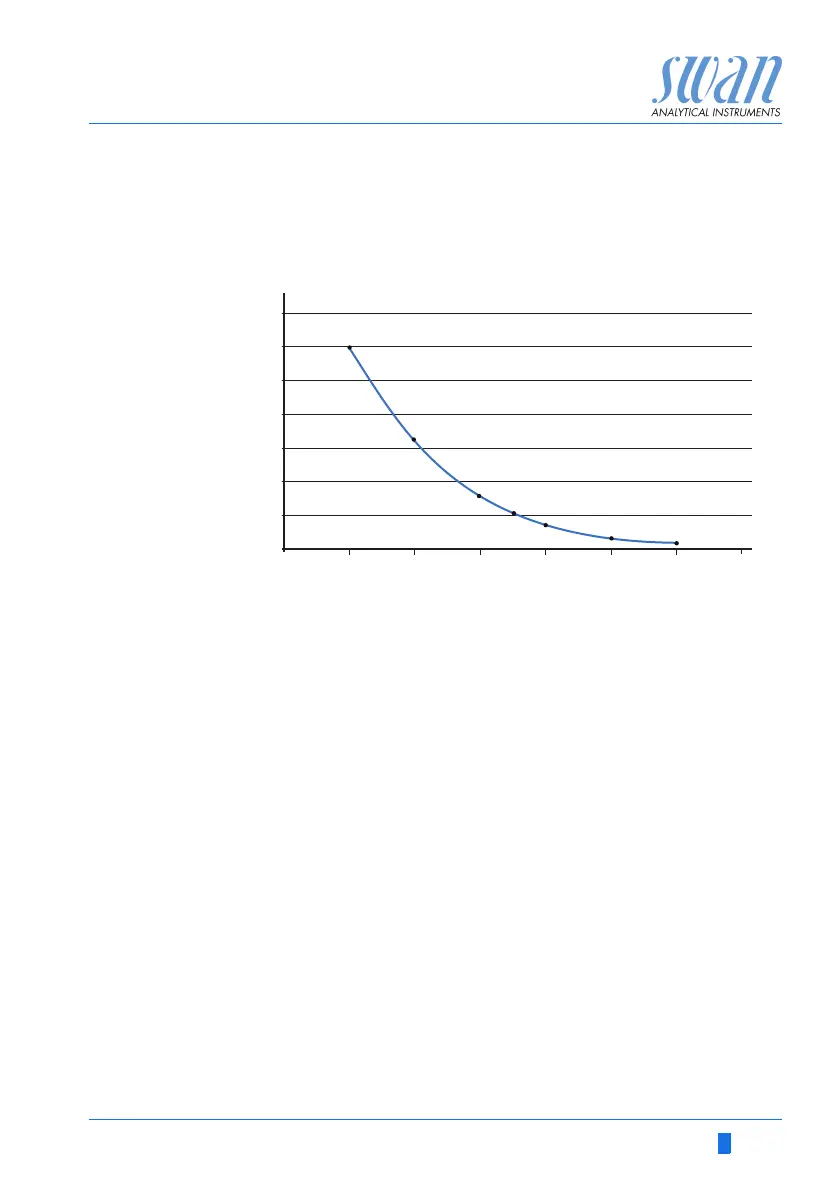
Operation time 1 liter Swan resin
This graphic shows the average exhaust time (flow 6 l/h) and must
be verified by the user.
Cation Conductivity.
Operational Days for 1 l of Cation Exchange Resin with an Ex-
change Capacity of 1.8 eq/l.
Flow Rate 6 l/h Alkalization with Ammonia. (Safety Margin of 15%
Subtracted).
0
8.8 9.0 9.2 9.4 9.6 9.8 10.0 10.2
pH
Days
100
200
300
400
500
600
700

Table of Contents

Related product manuals