EasyManua.ls Logo

ABB S3 - page 5

ABB S3
217 pages
Print Icon
To Next Page IconTo Next Page
To Next Page IconTo Next Page
To Previous Page IconTo Previous Page
To Previous Page IconTo Previous Page
Loading...
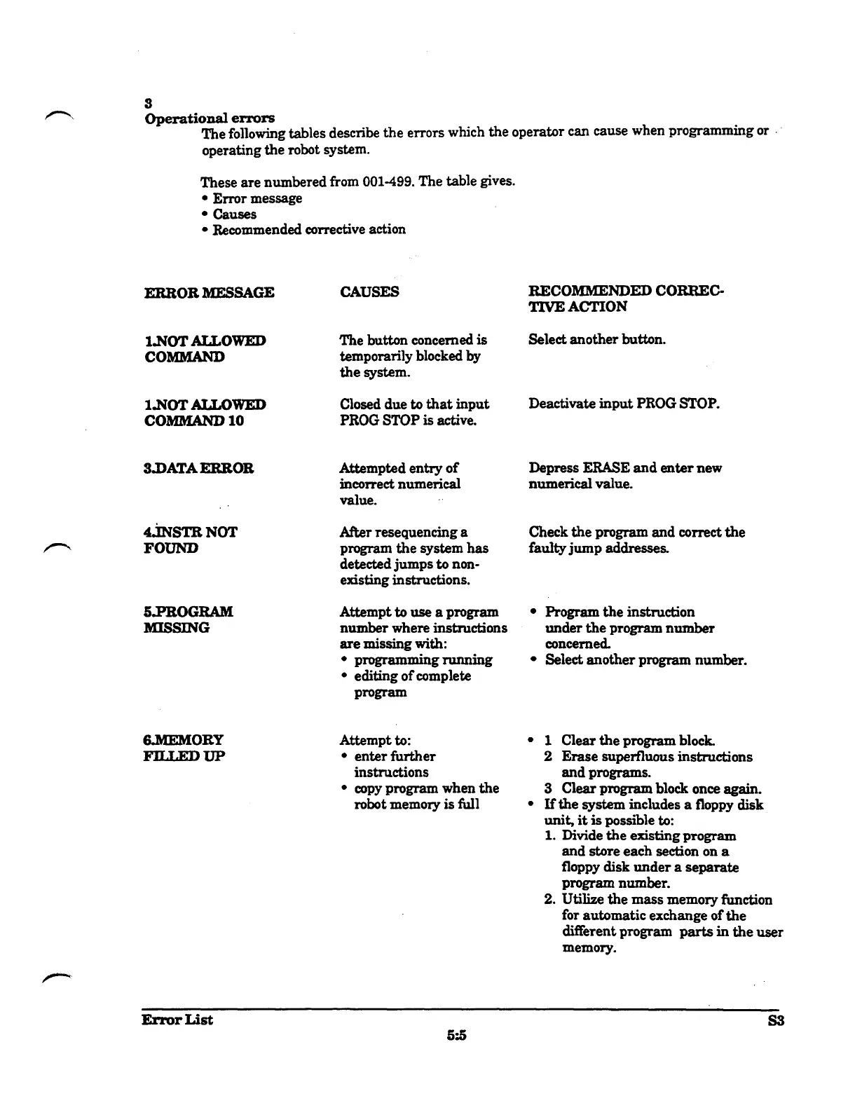
3
Operational errors
The following tables describe the errors which the operator can cause when programming or
operating the robot system
.
These are numbered from 001-499
. The table gives
.
~
Error message
~
Causes
~
Recommended corrective action
3 DATA ERROR
4JNSTR NOT
FOUND
S
.PROGRAM
MUSSING
6
.MEMORY
FILLED UP
Error List
ERROR MESSAGE
1
.NOT ALLOWED
COMMAND
1
.NOT ALLOWED
COMMAND 10
CAUSES
The button concerned is
temporarily blocked by
the system
.
Closed due to that input
PROG STOP is active
.
Attempted entry of
incorrect numerical
value
.
After resequencing a
program the system has
detected jumps to non-
existing instructions
.
Attempt to use a program
number where instructions
are missing with
:
~
programming running
~
editing of complete
program
Attempt to
:
~
enter further
instructions
~
copy program when the
robot memory is full
5
:5
RECOMMENDED CORREC-
TIVE ACTION
Select another button
.
Deactivate input PROG STOP
.
Depress ERASE and enter new
numerical value
.
Check the program and correct the
faulty jump addresses
.
~
Program the instruction
under the program number
concerned
.
~
Select another program number
.
~
1 Clear the program block
.
2 Erase superfluous instructions
and programs
.
3 Clear program block once again
.
~
If the system includes a floppy disk
unit, it is possible to
:
1
. Divide the existing program
and store each section on a
floppy disk under a separate
program number
.
2
. Utilize the mass memory function
for automatic exchange of the
different program parts in the user
memory
.
S3

Table of Contents

Related product manuals