EasyManua.ls Logo

Eclipse 500 - Page 167

Eclipse 500
460 pages
Print Icon
To Next Page IconTo Next Page
To Next Page IconTo Next Page
To Previous Page IconTo Previous Page
To Previous Page IconTo Previous Page
Loading...
Section 8. Engines & Fire Protection Eclipse 5OO Systems Manual
Copyright © — Eclipse Aviation Corporation
Version 2.0 April 2007 147
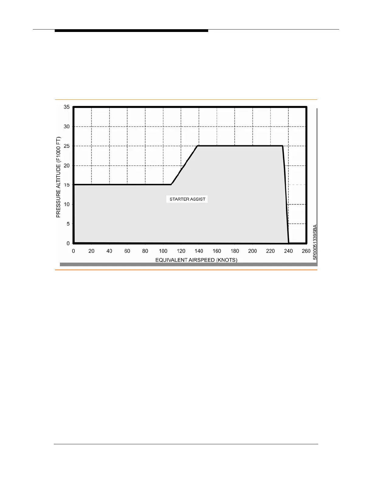
8.3.10 In-Flight Restart
25,000 Feet and Below
Airspeed............................................................................................139-234 KEAS
15,000 Feet and Below
Airspeed.................................................................................................<237 KEAS
Figure 91. Starter Assisted Air Start Envelope

Table of Contents

Related product manuals