EasyManua.ls Logo

FARMSCAN Jackal - Record Your Settings; Wiring Chart and Notes Section

FARMSCAN Jackal
52 pages
Print Icon
To Next Page IconTo Next Page
To Next Page IconTo Next Page
To Previous Page IconTo Previous Page
To Previous Page IconTo Previous Page
Loading...
AM-JACKAL-35 / JULY 2020
1
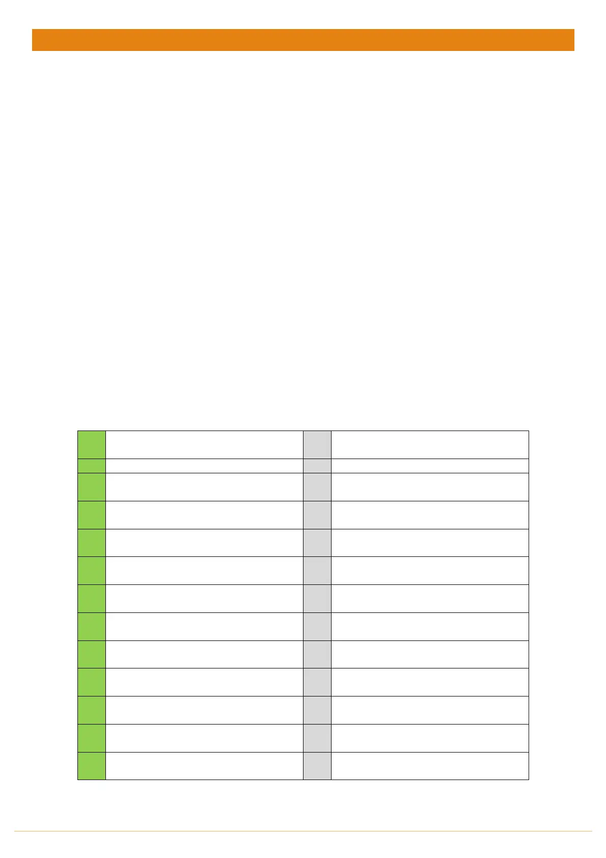
WRITE YOUR SETTINGS DOWN
WHEEL FACTOR: PULSES/M RATIO ___________________
IMPLEMENT WIDTH: ___________________
SPRAYER WIDTHS: SEC 1______ / SEC 2______ / SEC 3______
FLOW METER PULSES/LITRE RATIO: ___________________
USE THE CHART BELOW TO COLOUR CODE YOUR WIRING OR MAKE
NOTES AGAINST EACH PORT
A
BOTTOM ROW (GREEN PLUG)
B
TOP ROW (GREY PLUG)
A1
INPUT 1
B1
GROUND
A2
INPUT 2
B2
INPUT 7
A3
INPUT 3
B3
INPUT 8
A4
INPUT 4
B4
INPUT 9
A5
INPUT 5
B5
+12v OUT
A6
INPUT 6
B6
OUT 6
A7
GROUND
B7
OUT 5
A8
OUT 2
B8
OUT 4
A9
OUT 1
B9
OUT 3
A10
+12v In
+12v Battery
B10
RS232 TX
From GPS
A11
-Ve In
Ground / GND Battery
B11
RS232 RX
From GPS

Related product manuals