EasyManua.ls Logo

FUNAI HD-B2735 - Page 74

FUNAI HD-B2735
92 pages
Print Icon
To Next Page IconTo Next Page
To Next Page IconTo Next Page
To Previous Page IconTo Previous Page
To Previous Page IconTo Previous Page
Loading...
74
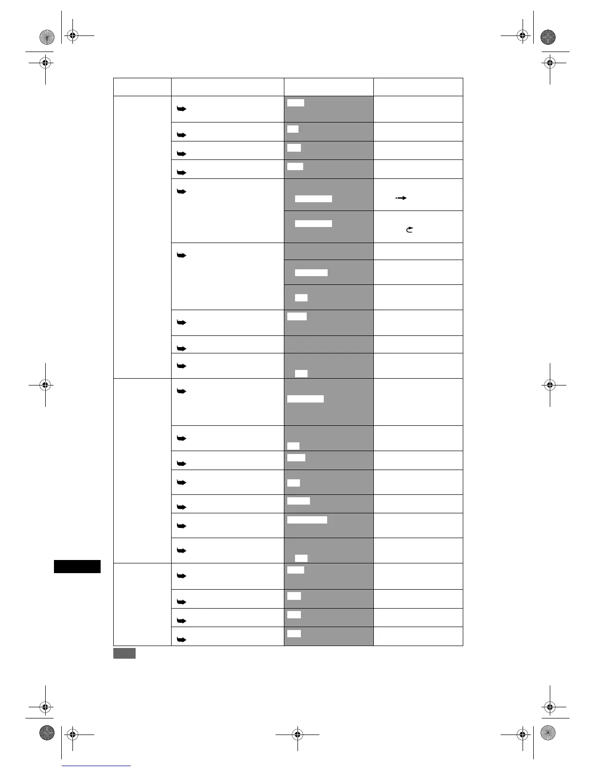
Other Setups
EN
Note
If you change the settings in the Setup Menus, the information of the contents remain memorized even after the
power is turned off or the disc tray is opened or closed.
Playback Still Mode
Page 79
Field
Frame
Set the still mode.
Parental Lock
Page 79
Level 8 to 1
Set the parental level for DVD
disc playback.
Angle Icon
Page 80
Off
Set whether or not to display
the angle icon.
TV System
Page 80
Auto
Set the TV system.
V. Replay/Skip Speed
Page 80
Variable Skip
15 seconds
1 minute
Set the amount of skip time
when you press [VARIABLE
SKIP ].
Variable Replay
30 seconds
1 minute
Set the amount of rewind time
when you press [VARIABLE
REPLAY ].
CD Playback Mode
Pages 52, 57
Programme Play Set the disc to play back in
your desired order.
Slide Show
10 seconds
Set the display time.
PBC
Off
Enable you to play back
interactive software using
menu screens.
Media Select
Page 50
Audio
Picture
Set the media to play for discs
contains mixture of different
type of media.
DivX(R) VOD
Page 50
Provide DivX
®
VOD
registration code.
Initialise
Page 80
Initialise
Yes
Return the initial settings to
the factory default.
Recording Auto Chapter [HDD]
Page 29
5 minutes
10 minutes
30 minutes
60 minutes
Off
Insert chapter marks every
set time interval.
Noise Reduction
Page 81
Strong
Weak
Reduce some noise in
playback picture or to record
in LP/EP/SLP mode.
Bilingual Recording Audio
Page 30
Sub
Set the audio type for
recording.
Fast Dubbing Audio (Video Mode)
Page 81
On Set the HDD bilingual
recording audio for fast
dubbing.
External Input Audio
Page 36
Bilingual
Set the external input audio
type for recording.
Recording Audio Select [XP]
Page 31
LPCM
Set the recording audio type.
(Only when the Rec Mode is
set to XP.)
Initialise
Page 81
Initialise
Yes
Return the initial settings to
the factory default.
Display FL Dimmer
Page 82
Bright
Dark
Set the brightness of the
Front Panel Display.
Display Device Status
Page 82
Off
Set the operating display.
Background Colour
Page 82
Off
Set the background colour.
Screen Saver
Page 82
Off
Set the Screen Saver.
Setup Menu Items Selection
(highlight is the default)
Contents
Auto
All
On
PAL
5 30 seconds
5
15 seconds
5
5 seconds
On
Video
No
15 minutes
Off
Main
Off
Stereo
Dolby Digital
No
Auto
On
On
On
E2B21BD_E2B28BD_EN.book Page 74 Monday, August 21, 2006 5:05 PM

Table of Contents

Related product manuals