EasyManua.ls Logo

Honda BF15D - Page 23

Honda BF15D
398 pages
Print Icon
To Next Page IconTo Next Page
To Next Page IconTo Next Page
To Previous Page IconTo Previous Page
To Previous Page IconTo Previous Page
Loading...
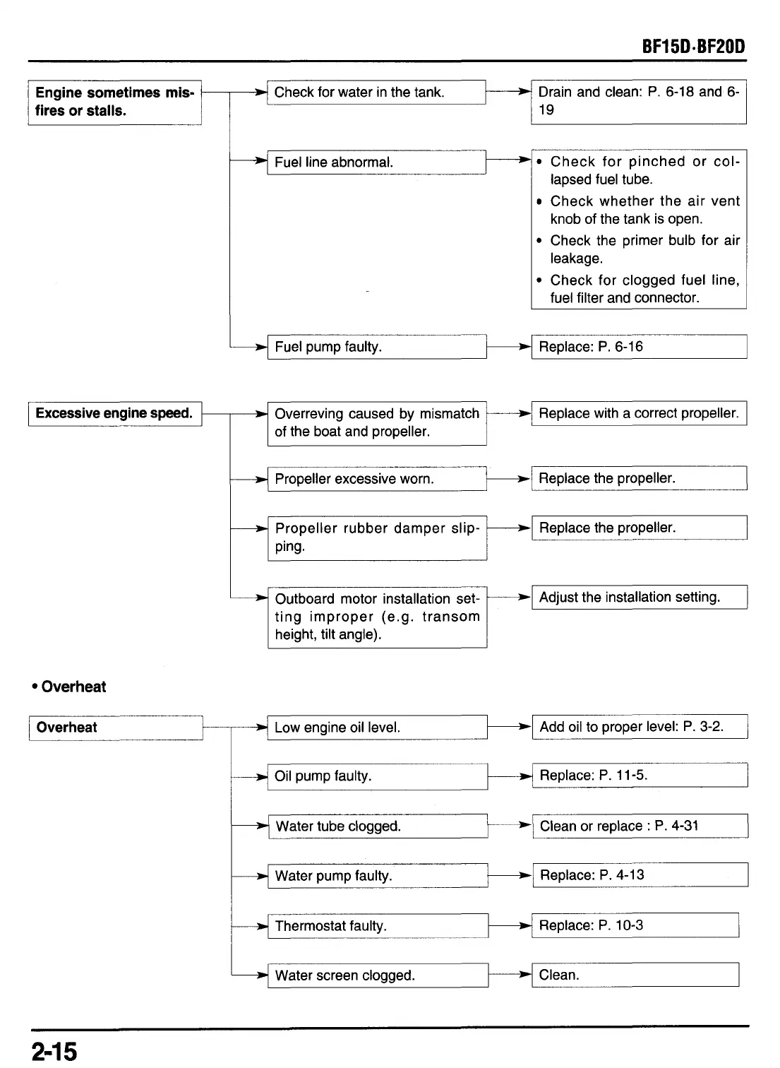
Engine sometimes mis-
fires or stalls.
Check for water in the tank.
+
I
Excessive engine speed.
Drain and clean:
P.
6-18 and 6-
19
Overheat
-
Overheat
~
Overreving caused by mismatch
of the boat and propeller.
Replace with a correct propeller.
Propeller excessive worn.
-+
Fuel line abnormal.
t--
Replace the propeller.
Check for pinched or col-
lapsed fuel tube.
Check whether the air vent
knob of the tank is open.
Check the primer bulb for air
leakage.
Check for clogged fuel line,
fuel filter and connector.
-
Propeller rubber damper slip-
-
Replace: P. 6-16
Replace the propeller.
Low engine oil level.
Add oil
to
proper level:
P.
3-2.
Water tube clogged.
Outboard motor installation set-
ting improper (e.g. transom
height, tilt angle).
Clean or replace
:
P. 4-31
Adjust the installation setting.
I
Water pump faulty.
Replace: P. 4-13
2-1
5

Table of Contents

Other manuals for Honda BF15D

Related product manuals