EasyManua.ls Logo

Honda BF15D - Page 24

Honda BF15D
398 pages
Print Icon
To Next Page IconTo Next Page
To Next Page IconTo Next Page
To Previous Page IconTo Previous Page
To Previous Page IconTo Previous Page
Loading...
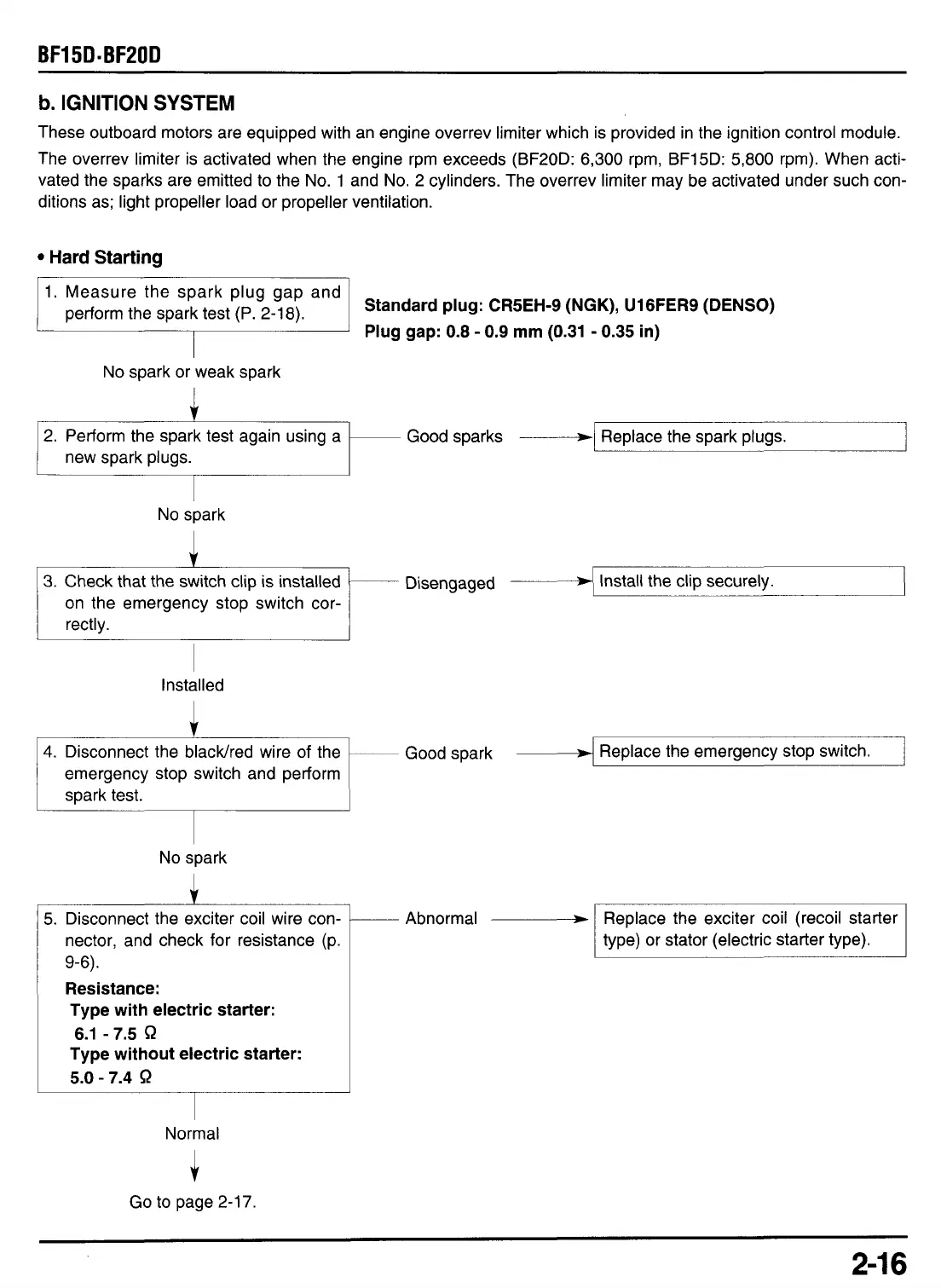
b.
IGNITION SYSTEM
These outboard motors are equipped with an engine overrev limiter which is provided in the ignition control module.
The overrev limiter is activated when the engine rpm exceeds (BF20D:
6,300
rpm,
BF15D:
5,800 rpm). When acti-
vated the sparks are emitted
to
the No.
1
and
No.
2
cylinders. The overrev limiter may be activated under such con-
ditions as; light propeller load or propeller ventilation.
Abnormal
-
Hard
Starting
perform the spark test (P. 2-18).
No
spark or weak spark
2. Perform the spark test again using a
1
new spark plugs.
Replace the exciter coil (recoil starter
type) or stator (electric starter type).
No spark
V
3.
Check that the switch clip is installed
on the emergency stop switch cor-
rectly.
Installed
V
4.
Disconnect the blackhed wire
of
the
emergency stop switch and perform
spark test.
No spark
-
5.
Disconnect the exciter coil wire con-
nector, and check for resistance (p.
Resistance:
Type with electric starter:
Type without electric starter:
9-6).
6.1
-7.5
R
5.0
-
7.4
R
Standard plug:
CR5EH-9 (NGK), U16FER9 (DENSO)
Plug gap:
0.8
-
0.9
mm
(0.31
-
0.35 in)
Good sparks -[Replace the spark plugs.
-
Disengaged
Install the clip securely.
Good spark
4
Replace the emergency stop switch.
Normal
v
Go
to
page
2-17
2-1
6

Table of Contents

Other manuals for Honda BF15D

Related product manuals