EasyManua.ls Logo

Indesit ISL70CEX - 2.5 PROGRAMMES - CONDENSER DRYER WITH DISPLAY

Indesit ISL70CEX
78 pages
Print Icon
To Next Page IconTo Next Page
To Next Page IconTo Next Page
To Previous Page IconTo Previous Page
To Previous Page IconTo Previous Page
Loading...
En
18
Language
English
2 opEration
Service Manual
Yate Production Dryers
Edition
2006.09.21
2.5 PROGRAMMES - CONDENSER DRYER WITH DISPLAY
Programmes
! If the On/Off indicator is not alight: Press the ON/OFF button and select the programme.
Installation
Description
Start and
Programmes Laundry
Warnings and
Suggestions
Maintenance and
Care Troubleshooting Service
GB
5
Start and Programmes
Programmes
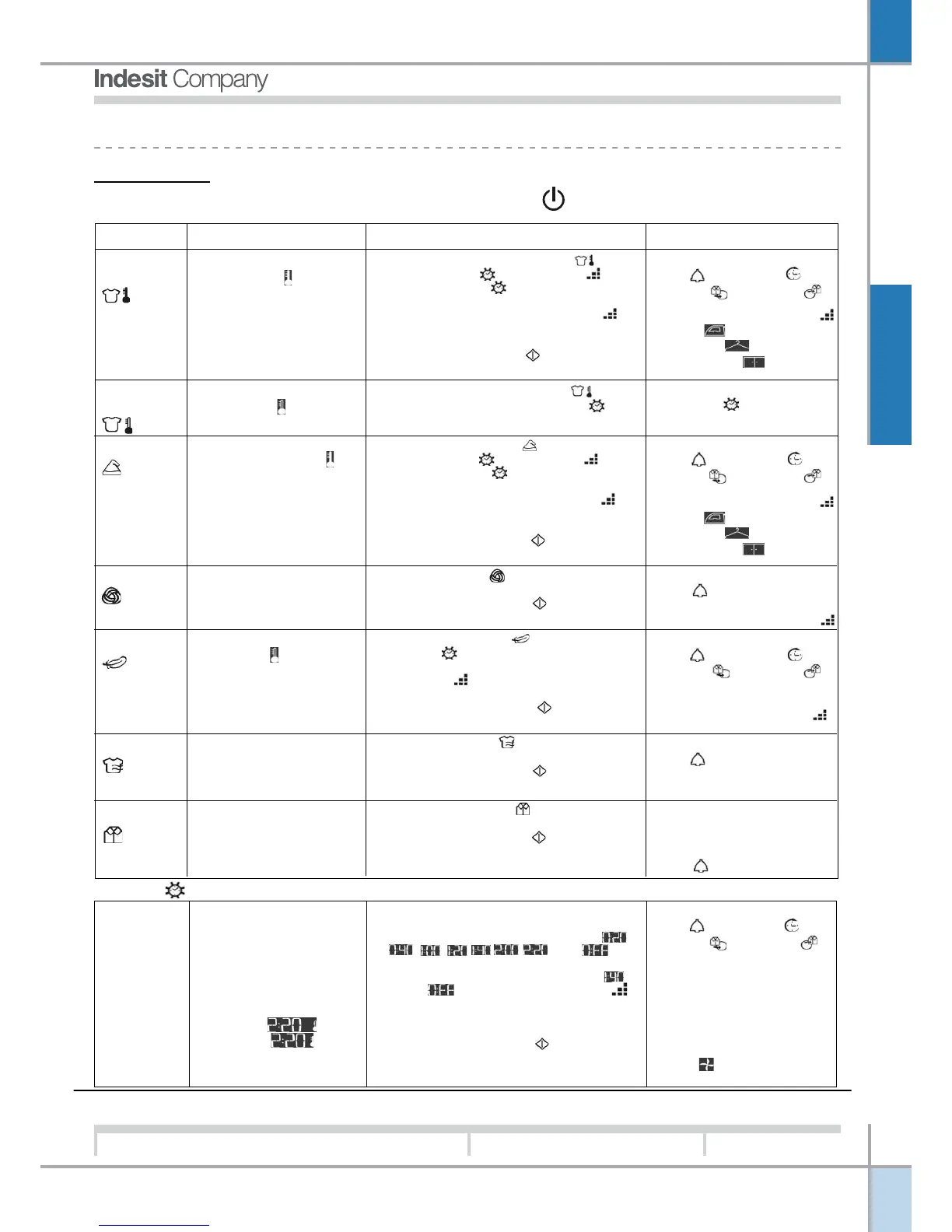
Programme
What it does... How to set it... Note:
Cottons
High Heat
Dries your Cotton clothes
on High heat
Options available:
Alarm , Time Delay ,
Pre Care , Post Care .
1. Press the Cottons - High Heat button.
2. Choose Timed or Automatic option.
- If Timed Drying , see below, or...
- To change from default dryness setting
press and release Dryness Levels
button until the required level is displayed.
3. Select any Options if required.
4. Press the Start button .
Cottons
Low Heat
Dries your Cotton clothes
on Low heat
Options available:
See Timed below.
1. Press the Cottons - Low Heat button.
2. Select a drying time, see Timed below.
Timed Drying
Timed
(
0:20, 0:40,
1:00, 1:20, 1:40,
2:00 or 2:20
Hours:Minutes
)
Always use Timed Drying
for loads less than 1kg, or
if you prefer a different
dryness result.
The heat setting depends
on the material option
selected:
The display will show
LOW HEAT or
HIGH HEAT as
appropriate.
Consult suggested drying
times (see Laundry).
The last 10 minutes of these
programmes is the Cool
Tumble .
1. Press and release the Timed button
until the display shows the required
selection. Each press advances ,
, , , , , then and
then repeats.
Delicates have maximum time of .
When is displayed, Automatic
option is available if you change your
mind.
3. Select any Options if required.
4. Press the Start button .
Brief programme
(approximately 10 minutes)
that softens fibres of
clothing that is ready for
ironing.
! This is not a drying
programme (see previous
page).
Options available:
Alarm
1. Press the Easy Iron button.
2. Select Alarm option if required.
3. Press the Start button .
Synthetics
Dries your Synthetic
clothes on High heat
1. Press the Synthetics button.
2. Choose Timed or Automatic option.
- If Timed Drying , see below, or...
- To change from default dryness setting
press and release Dryness Levels
button until the required level is displayed.
3. Select any Options if required.
4. Press the Start button .
Delicates
(e.g. Acrylics)
Dries your clothes on Low
heat setting , ready to
be worn.
1. Press the Delicates button.
2. If Timed programme required (see
Timed below). Otherwise default is
Automatic .
3. Select any Options, if required.
4. Press the START button .
Wool
Dries your Woollen clothes,
(see previous page).
Options available:
Alarm
An Automatic programme
1. Press the Wool button.
2. Select Alarm option if required.
3. Press the Start button .
Airing
Easy Iron
20-minute programme that
airs your clothes with cool
air. Use also to cool warm
clothes.
1. Press the Airing button.
2. Select Alarm option if required.
3. Press the Start button .
! If the On/Off light is not lit; Press the ON/OFF button and then select programme.
: default
Options available:
Alarm , Time Delay ,
Pre Care , Post Care .
Options available:
Alarm , Time Delay ,
Pre Care , Post Care .
The default is Automatic
Options available:
Alarm , Time Delay ,
Pre Care , Post Care .
Options available:
Alarm
Dryness options: Automatic
Iron Dry
Hanger Dry
Cupboard Dry
: default
Dryness options: Automatic
Iron Dry
Hanger Dry
Cupboard Dry

Related product manuals