EasyManua.ls Logo

ITech IT6090C-500-450

ITech IT6090C-500-450
161 pages
To Next Page IconTo Next Page
To Next Page IconTo Next Page
To Previous Page IconTo Previous Page
To Previous Page IconTo Previous Page
Loading...
Power Supply Function
1. Press the composite keys [Shift]+[I-set] (Function) on the front panel to en-
ter the function menu.
2. Use the knob or press the Up/Down key to select 3.Road-Vehicles = Off
and press [Enter].
3. Press the Left/Right key to select ISO16750-2 and press [Enter] to confirm.
4. Press the Left/Right key to select Short-Drop and press [Enter] to confirm.
5. Press the Left/Right key to select 12V and press [Enter] to confirm.
The interface returns to the main interface of the system and displays
SHORT-DROP.
6. Press [On/Off] on the front panel to turn on the output.
7. According to the selected trigger method (same as the trigger method of the
LIST function), for example, press [Shift]+[On/Off](Trigger) to trigger the
output of the waveform.
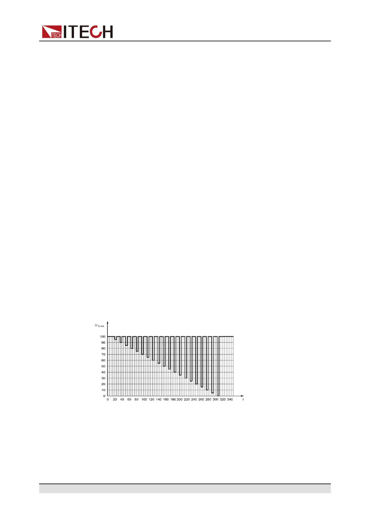
Reset-Test
This test verifies the reset behavior of the DUT at different voltage drops. This
test is applicable to equipment with reset function, e.g. equipment containing mi-
crocontroller. Apply the test pulse simultaneously in figure below to all relevant
inputs (connections) and check the reset behavior of the DUT. Decrease the
supply voltage by 5 % from the minimum supply voltage, Us min, to 0.95 Us
min. Hold this voltage for 5 s. Raise the voltage to Us min. Hold Us min for at
least 10 s and perform a functional test. Then decrease the voltage to 0.95 Us
min. Continue with steps of 5 % of Us min, as shown in figure below, until the
lower value has reached 0 V. Then raise the voltage to Us min again.
How to recall this waveform from menu is as below:
1. Press the composite keys [Shift]+[I-set] (Function) on the front panel to en-
ter the function menu.
2. Use the knob or press the Up/Down key to select 3.Road-Vehicles = Off
and press [Enter].
3. Press the Left/Right key to select ISO16750-2 and press [Enter] to confirm.
Copyright © Itech Electronic Co., Ltd.
94
ООО "Техэнком" Контрольно-измерительные приборы и оборудование www.tehencom.com

Table of Contents

Related product manuals