EasyManua.ls Logo

Keithley 486 - Page 119

Keithley 486
233 pages
Print Icon
To Next Page IconTo Next Page
To Next Page IconTo Next Page
To Previous Page IconTo Previous Page
To Previous Page IconTo Previous Page
Loading...
SECTTON 4
IEEE-488 Reference
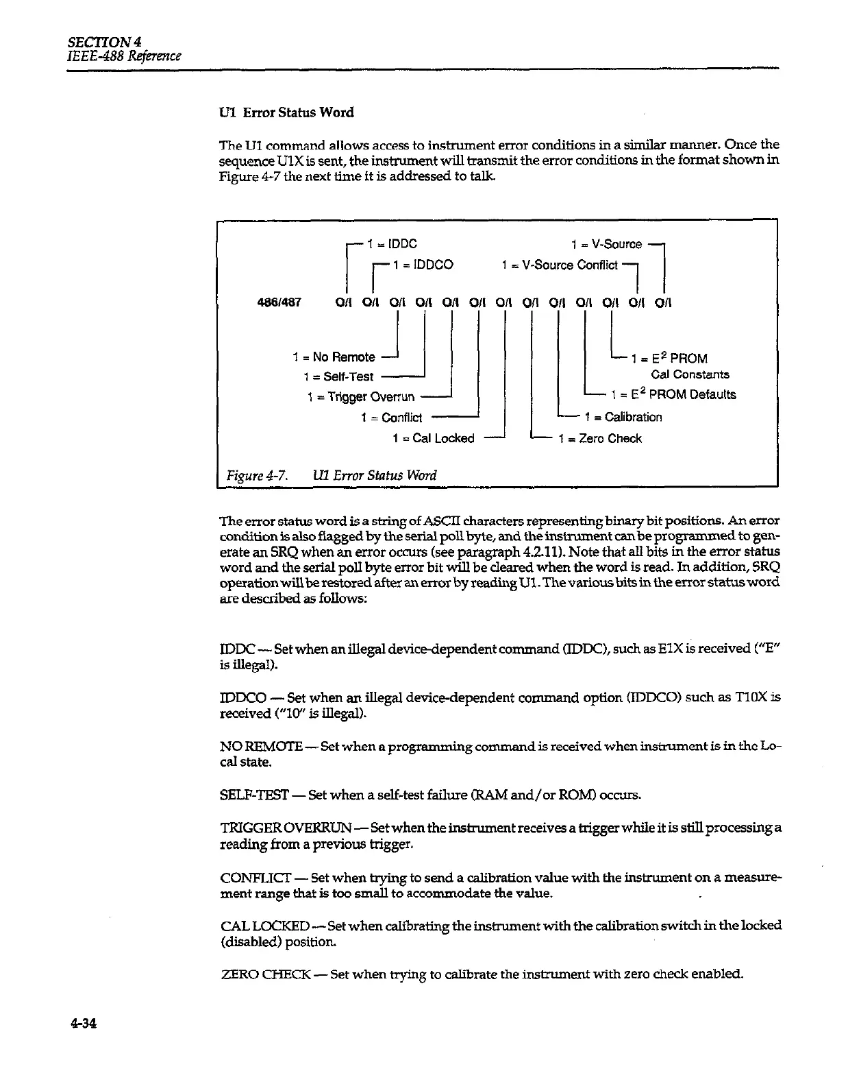
Ul Error Status Word
The IJI command allows access to instrument error conditions in a similar manner. Once the
sequence UlX is sent, the
instnrnent will transmit the error conditions in the
format shown in
Figure 47 the next time it is addressed to talk
r
1 = IDDC
r
1 = IDDCO
4861487
on on on on on
1 = No Remote
1
1 = Self-Test -
1 = Trigger Overrun
J
1 = Conflict -
1 = V-Source
1 = V-Source
Conflict
11
3n
I
1 = Cal Locked -
t
on O/I O/I o/l O/I
_L
L
1= E2 PROM
Cal Constants
1 = E2 PROM Defaults
1 = Calibration
- 1 = Zero Check
Figure 47.
Ill Error
Status Word
The error status word is a string of ASCII characters representing binary bit positions. An error
condition
is also flagged by the serial poll byte, and the instnunent cm be programmed to gen-
erate an SRQ when an error occurs (see paragraph 4211). Note that all bits in the error status
word and the serial poll byte error bit will be cleared when the word is read. In addition, SRQ
operationwiUberestoecl after anerror by readingUl.Thevarious bitsinthe error statusword
are described as follows:
IDDC - Set when an illegal device-dependent command (IDIYJ, such as ElX is received (“E”
is illegal).
lDDC0 - Set when an illegal device-dependent cormnan
d option @DDCO) such as TlOX is
received (“IO” is iuegal).
NO REMOTE -Set when a progr amming command is received when instrument is in the Lo-
cal state.
SELF-TEST-Set when a self-test failme (RAM and/or ROM) occurs
TRIGGRROVERRUN - Set when the instnunent receives a trigger while it is still processing a
reading from a previous tripper.
CONFLICT - Set when trying to send a calibration value with the instrument on a measure-
ment range that is too small to
accommodate the value.
CAL LOCKED -Set when calibrating the instrument with the calibration switch in the locked
(disabled) position.
ZERO CHECK-Set when tqing to calibrate the instrument with zero check enabled.
4-34

Table of Contents

Other manuals for Keithley 486

Related product manuals