EasyManua.ls Logo

Lenze 9300 vector - 6.2 Selection of the correct operating mode

Lenze 9300 vector
466 pages
Print Icon
To Next Page IconTo Next Page
To Next Page IconTo Next Page
To Previous Page IconTo Previous Page
To Previous Page IconTo Previous Page
Loading...
Commissioning
Selection of the correct operating mode
6
6.2
6.2−1
EDSVF9383V EN 6.0−11/2009
6.2 Selection of the correct operating mode
The control mode of the controller can be selected via the operating mode.
You can select between the following modes:
ƒ V/f characteristic control
ƒ Vector control
The V/f characteristic control is the classic operating mode for standard
applications.
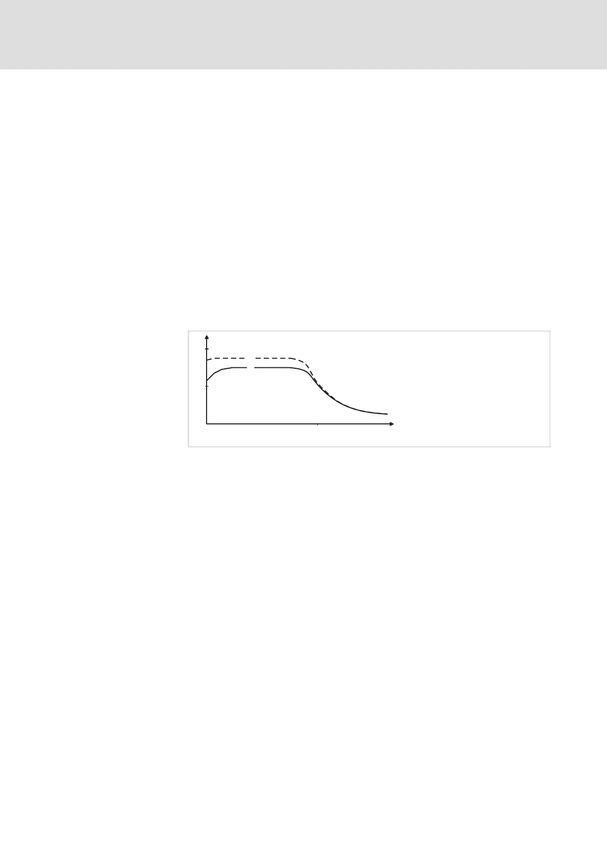
When using the vector control you will achieve improved drive features
compared to the V/f characteristic control due to:
ƒ Higher torque via the complete speed range
ƒ Higher speed accuracy and higher concentricity factor
ƒ Higher efficiency
M
nn
N
M
N
8200vec524
Fig. 6.2−1 Comparison of V/f characteristic control and vector control
V/f characteristic control
Vector control
Description
Selection of the correct
operating mode
efesotomasyon.com - Lenze

Table of Contents

Other manuals for Lenze 9300 vector

Related product manuals