EasyManua.ls Logo

Lenze 9300 vector - Page 155

Lenze 9300 vector
466 pages
Print Icon
To Next Page IconTo Next Page
To Next Page IconTo Next Page
To Previous Page IconTo Previous Page
To Previous Page IconTo Previous Page
Loading...
Commissioning
Adjusting the motor
Motor temperature monitoring with KTY
6
6.6
6.6.4
6.6−14
EDSVF9383V EN 6.0−11/2009
The temperature and resistance range can be adapted to the KTY used.
ƒ C1190 = 0: Fixed operating range for KTY in Lenze motors (Lenze
setting)
ƒ C1190 = 1: Adjustable operating range
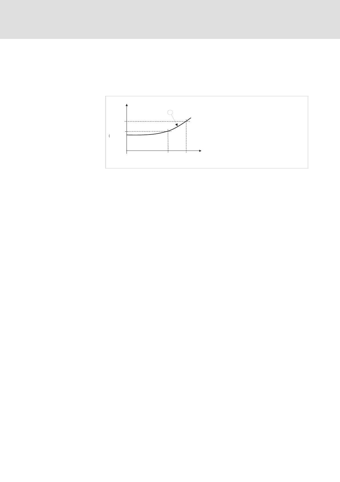
T [ ° C ]
R [ O h m ]
R 2
( C 1 1 9 2 / 2 )
T 1
( C 1 1 9 1 / 1 )
R 1
(
C 1 1 9 2 / 1 )
T 2
( C 1 1 9 1 / 2 )
a
Fig. 6.6−3 Setting of the operating range for the KTY (C1190 = 1)
The operating range is specified by means of limit values and is in the almost
linear section of the graph (a). The operating values are determined by
interpolation.
C1191/1
C1191/2
Setting of the lower and upper temperature value (T1, T2)
corresponding to the KTY used.
C1192/1
C1192/2
Setting of the lower and upper resistance value corresponding to
the KTY used.
Adjustment of KTY operating
range
efesotomasyon.com - Lenze

Table of Contents

Other manuals for Lenze 9300 vector

Related product manuals