EasyManua.ls Logo

Lenze EVF9327 - Edsvf9333 V en 3.0-06;2005

Lenze EVF9327
459 pages
Print Icon
To Next Page IconTo Next Page
To Next Page IconTo Next Page
To Previous Page IconTo Previous Page
To Previous Page IconTo Previous Page
Loading...
Configuration
Function blocks
Internal motor control with V/f characteristic control (MCTRL1)
8
8.2
8.2.6
8.2-38
EDSVF9333V EN 3.0-06/2005
Flying restart circuit with protection against unexpected start-up
(C0142 = 2):
0
1
2
3
4

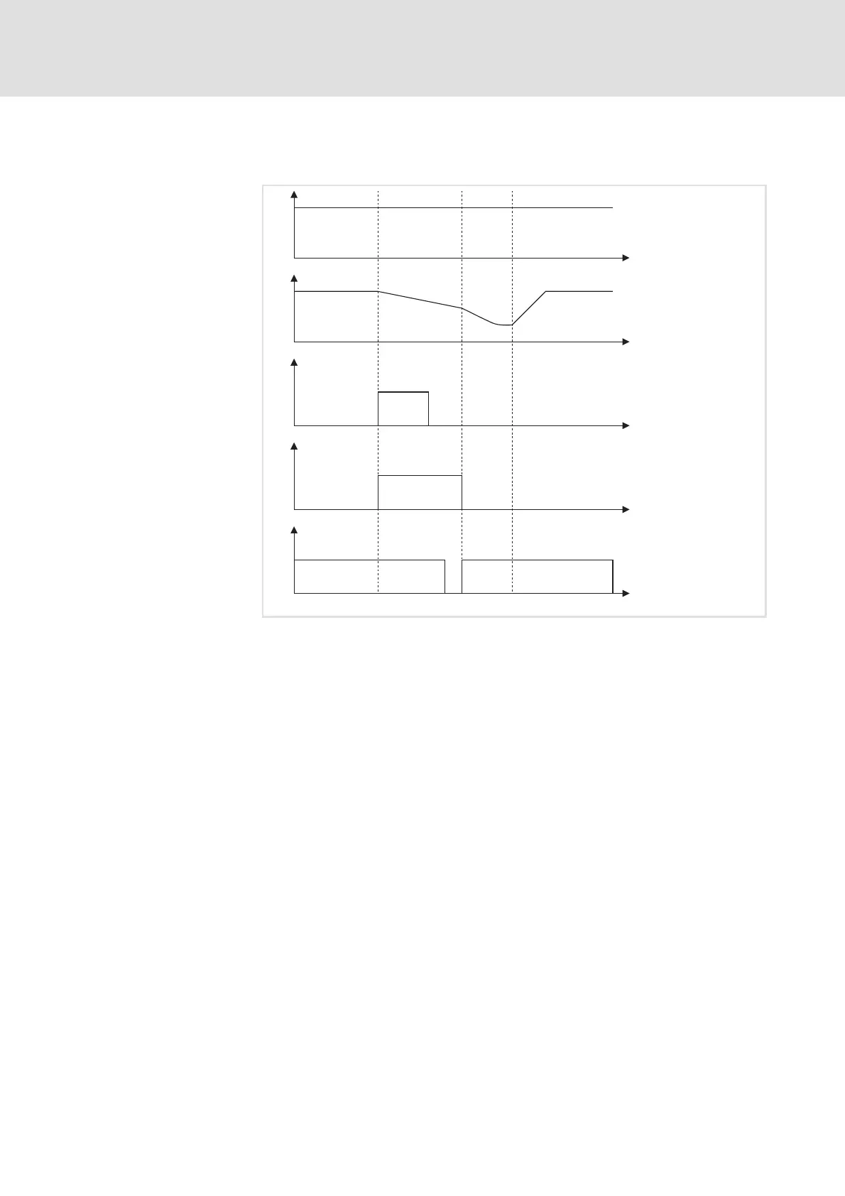
9300vec087
Fig. 8.2-16 Signal characteristic for manual start with flying restart circuit (C0142 = 2)
Speed setpoint (e.g. AIN-OUT)
Actual speed value
Fault (e.g. DCTRL-FAIL = HIGH)
Pulse inhibit (e.g. DCTRL-IMP = HIGH)
Enable controller (e.g. X5/28 = HIGH)
c The motor rotates with setpoint
d A fault (e.g. mains failure, TRIP SET) activates a pulse inhibit .Themotor
coasts. After eliminating the fault (e.g. mains recovery, TRIP RESET) the pulse
inhibit remains active until the controller is enabled again (e.g. LOW-HIGH
edge at X5/28)
Important in case of an OU message: if the OU message is not pending
anymore, the pulse inhibit is deactivated.
e The flying restart circuit is active now and determines the current motor
speed
f The m otor is accelerated along the set acceleration ramp to the speed
setpoint and is being kept there

Table of Contents

Related product manuals